Open Access

Fig. 3

image

Download original image

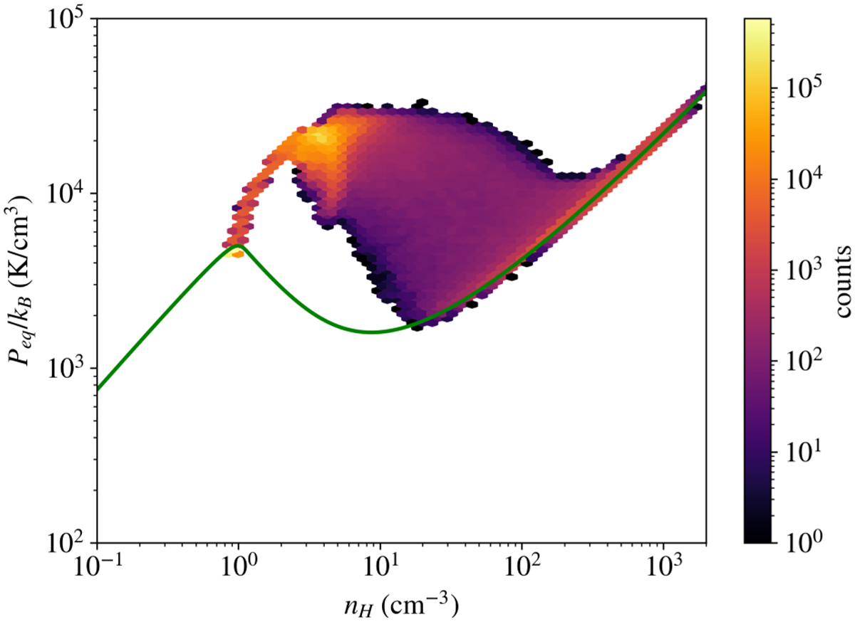
Pressure versus hydrogen number density of the region R1 after 5 Myr of evolution. The green solid line represents the pressure at thermal equilibrium and the color bar represents the counts of the volume-weighted 2D histogram.

Current usage metrics show cumulative count of Article Views (full-text article views including HTML views, PDF and ePub downloads, according to the available data) and Abstracts Views on Vision4Press platform.

Data correspond to usage on the plateform after 2015. The current usage metrics is available 48-96 hours after online publication and is updated daily on week days.

Initial download of the metrics may take a while.