Open Access

Fig. 7

image

Download original image

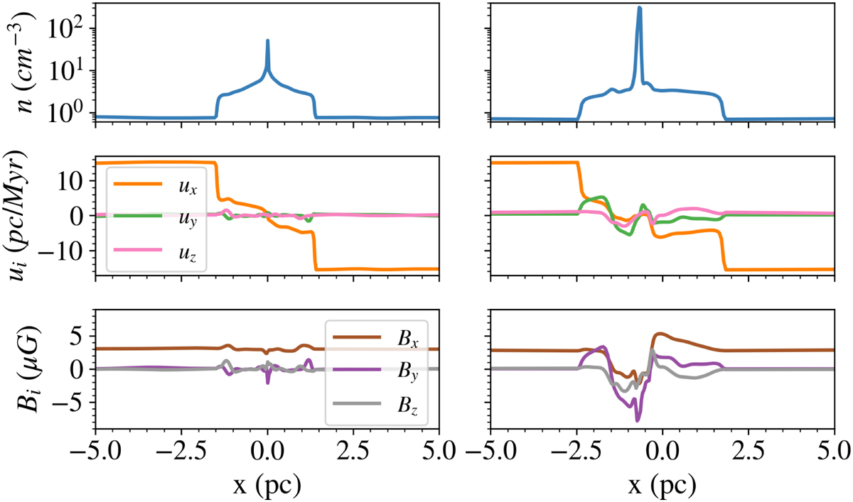
Number density (top), velocities (middle), and magnetic field components (bottom) along a ray parallel to the x axis at 0.7 Myr (left panels) and 5.0 Myr (right panels) of evolution. The compressive velocity field, ux, and the magnetic seed amplifications at the MHD fast shock are given in the middle-left and bottom-left panels, respectively, and the amplified By and Bz components in the bottom-right panel.

Current usage metrics show cumulative count of Article Views (full-text article views including HTML views, PDF and ePub downloads, according to the available data) and Abstracts Views on Vision4Press platform.

Data correspond to usage on the plateform after 2015. The current usage metrics is available 48-96 hours after online publication and is updated daily on week days.

Initial download of the metrics may take a while.