Open Access

Fig. 2.

image

Download original image

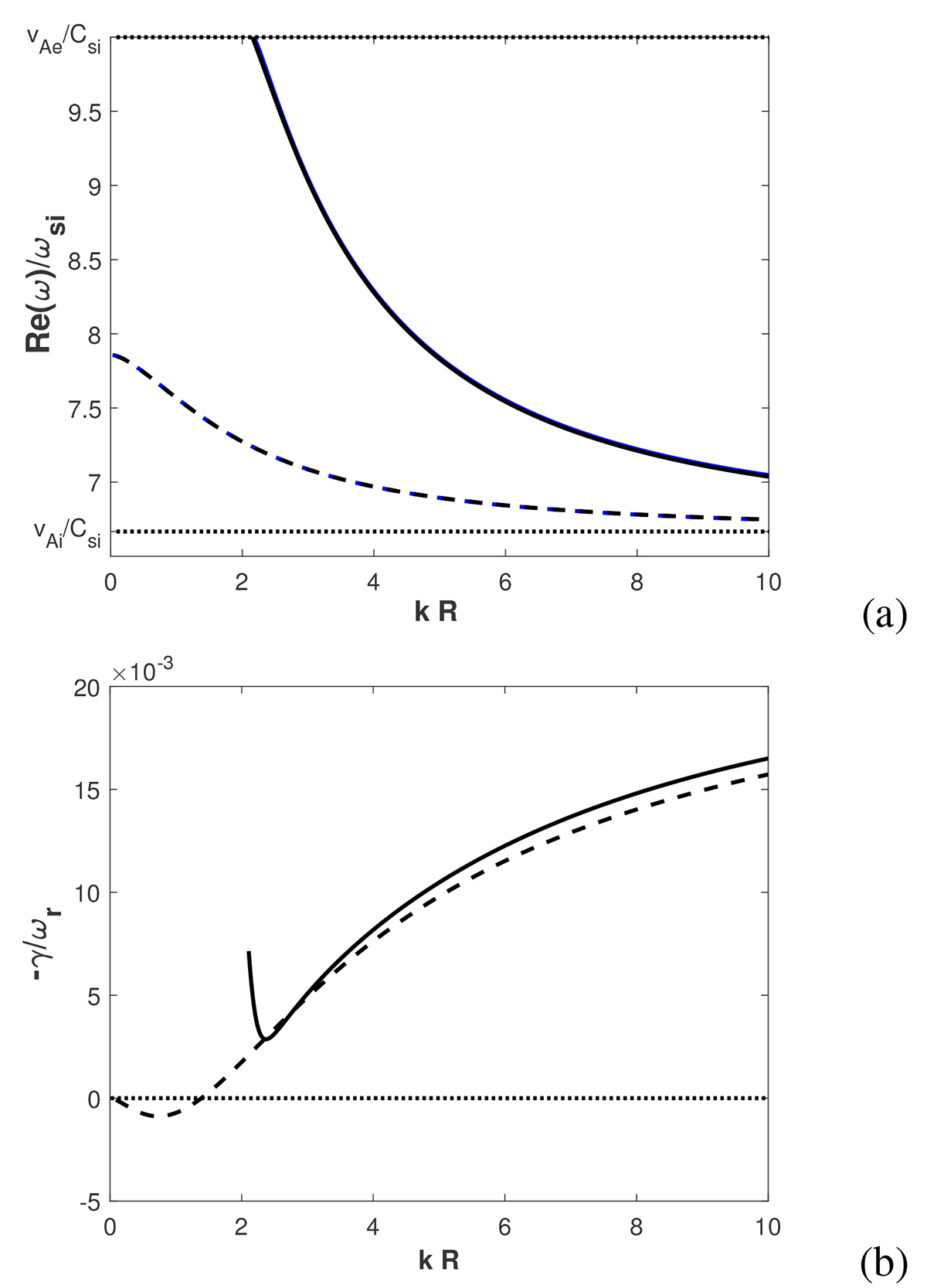
In the coronal condition (VAe = 1.5, VAi = 1, Csi = 0.15, Cse = 0.13 Mm/s) and with τ 1 ¯ = 6.8 $ \bar{\tau_1}=6.8 $, τ 2 ¯ = 2.4 $ \bar{\tau_2}=2.4 $ (corresponding to approximate values of 34 and 12 minutes for τ1 and τ2, respectively, at a temperature of about 5 MK), the study considers a wave with a period of 5 min: (a) numerical solution of the dispersion relation from Eq. (19) for frequencies (phase speed) normalized by the internal acoustic frequency (acoustic speed) (ωr/ωsi ≡ vph/Csi) of the fast sausage fundamental mode without (solid blue line) and with (solid black line) consideration of the thermal misbalance effect, as well as the numerical solution of the dispersion relation from Eq. (27) for the fast kink fundamental mode (m = 1) without (dashed blue line) and with (dashed black line) consideration of the thermal misbalance effect versus the normalized longitudinal wavenumber (kR). (b) Damping rate to frequency ratio (−γ/ωr) of fundamental states of the fast sausage (solid line) and kink (dashed line) modes with consideration of the thermal misbalance effect versus the normalized longitudinal wavenumber (kR).

Current usage metrics show cumulative count of Article Views (full-text article views including HTML views, PDF and ePub downloads, according to the available data) and Abstracts Views on Vision4Press platform.

Data correspond to usage on the plateform after 2015. The current usage metrics is available 48-96 hours after online publication and is updated daily on week days.

Initial download of the metrics may take a while.