Open Access

Fig. 2

image

Download original image

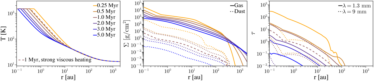
Evolution of the temperature (left panel), the gas surface density and dust surface density (solid and dotted lines, middle panel), and optical depth (right panel) at λ = 1.3 mm (solid lines) and λ = 9.0 mm (dotted lines) as a function of orbital radius at different disc ages. During the build-up of the disc and shortly after (0.25 Myr), the disc is optically thick out to ~40 au. Up to 1 Myr the disc remains optically thick within ~10 au, and after this the disc is optically thin except for the inner ~1 au. The dashed line shows a model with strong viscous heating and low angular momentum at 1 Myr. The temperature corresponds in this case well to the 0.5 Myr case with weak viscous heating.

Current usage metrics show cumulative count of Article Views (full-text article views including HTML views, PDF and ePub downloads, according to the available data) and Abstracts Views on Vision4Press platform.

Data correspond to usage on the plateform after 2015. The current usage metrics is available 48-96 hours after online publication and is updated daily on week days.

Initial download of the metrics may take a while.