ZTF SN Ia DR2
Open Access

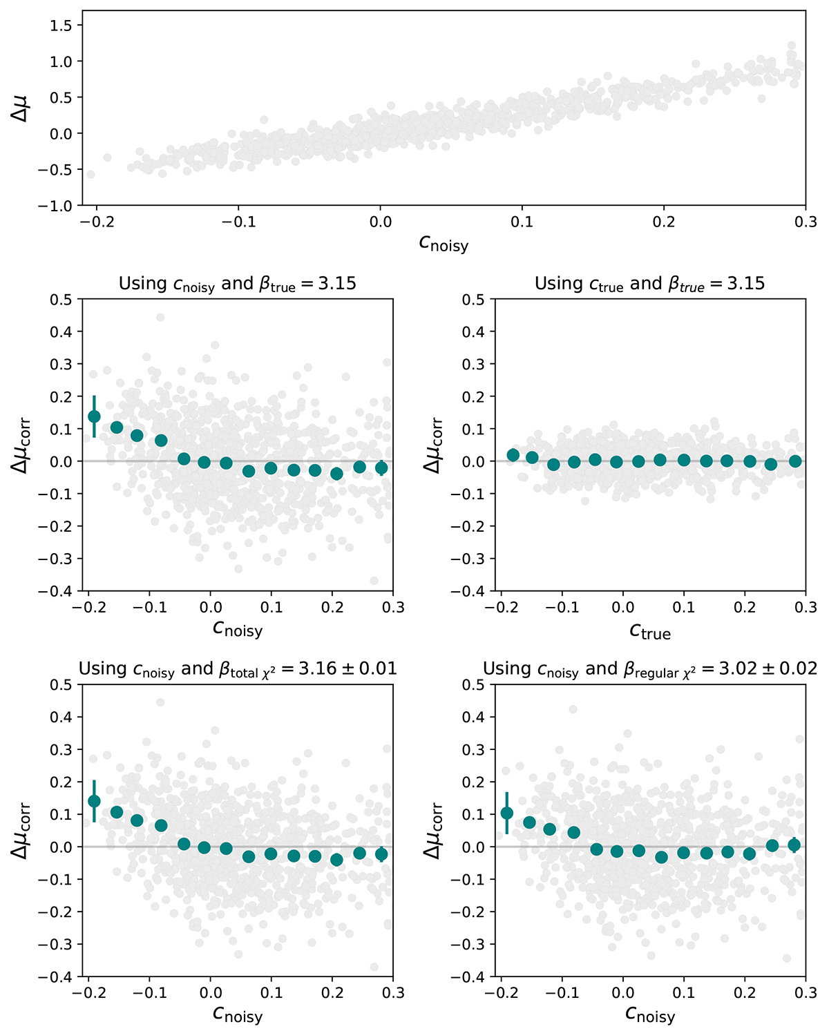
Fig. A.2.

image

Download original image

Simple simulation of noisy residuals with a correlation with colour β. Top: Residuals vs. colour. Middle left: Residuals corrected for their correlation with colour with the true correlation coefficient β but noisy colours cnoisy. An upwards tilt appears at low colours due to errors on cnoisy. Middle right: Residuals corrected for their correlation with colour with the true β and true colours ctrue. The corrected residuals appear flat with colour. Bottom right: Residuals corrected with an unbiased β fitted with the total-χ2 method. Bottom left: Residuals corrected with a biased β fitted with the regular χ2 minimisation.

Current usage metrics show cumulative count of Article Views (full-text article views including HTML views, PDF and ePub downloads, according to the available data) and Abstracts Views on Vision4Press platform.

Data correspond to usage on the plateform after 2015. The current usage metrics is available 48-96 hours after online publication and is updated daily on week days.

Initial download of the metrics may take a while.