Open Access

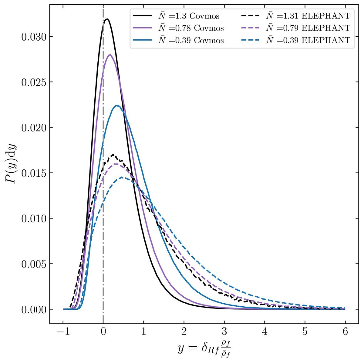
Fig. 10.

image

Download original image

Comparison of the PDF for the density contrast weighted by the particle/galaxy density as measured in Covmos and ELEPHANT (GR), respectively. Colours encode the amount of depletion resulting in number densities per grid cell as indicated in the legend. Dashed lines refer to the ELEPHANT simulation while solid lines refer to the Covmos catalogues. We show the mean over five realisations and depleted measurement were obtained by taking the mean over 30 realisations of depletions.

Current usage metrics show cumulative count of Article Views (full-text article views including HTML views, PDF and ePub downloads, according to the available data) and Abstracts Views on Vision4Press platform.

Data correspond to usage on the plateform after 2015. The current usage metrics is available 48-96 hours after online publication and is updated daily on week days.

Initial download of the metrics may take a while.