Open Access

Fig. 6

image

Download original image

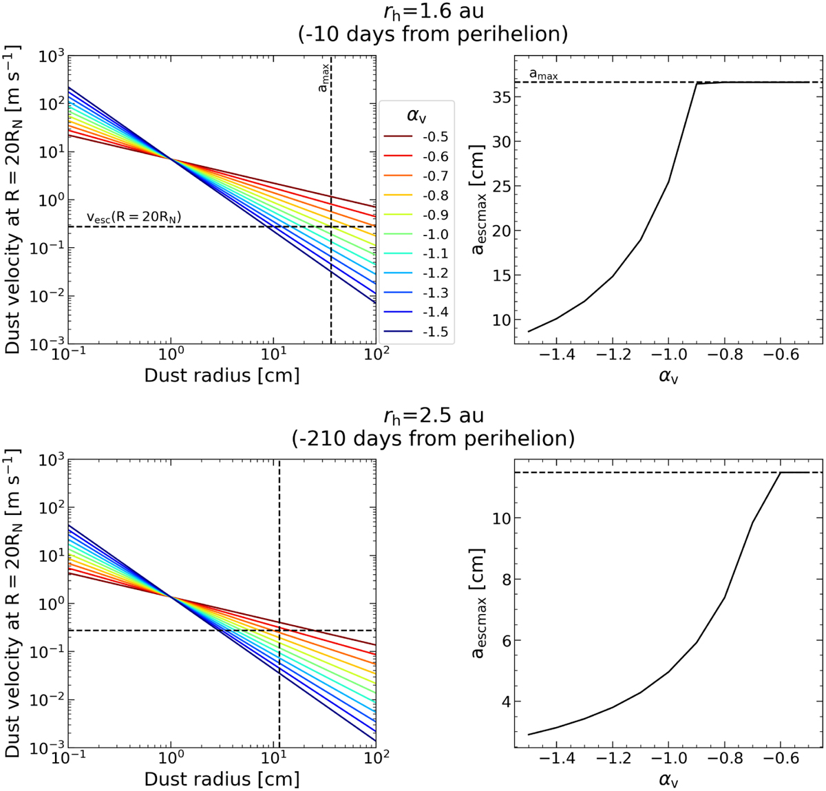
Dust velocity (vd) at R = 20RN and maximum escape radius (aescmax) in our dust ejection model. The upper and lower panels represent examples at small and large heliocentric distances, respectively. The left column shows the size-dependent dust velocity at a cometocentric distance of R = 20RN . The horizontal dotted lines indicate the escape velocity (vesc) at the cometocentric distance. The vertical dotted lines indicate the maximum liftable radius (amax) at the heliocentric distance. The intersection points with horizontal dotted and colored lines correspond to the maximum escape radius at the given αv values. The right column shows the determined maximum escape radius as a function of αv. The horizontal dotted lines represent the maximum liftable radius, showing the upper limit of the maximum escape radius at given heliocentric distances.

Current usage metrics show cumulative count of Article Views (full-text article views including HTML views, PDF and ePub downloads, according to the available data) and Abstracts Views on Vision4Press platform.

Data correspond to usage on the plateform after 2015. The current usage metrics is available 48-96 hours after online publication and is updated daily on week days.

Initial download of the metrics may take a while.