Open Access

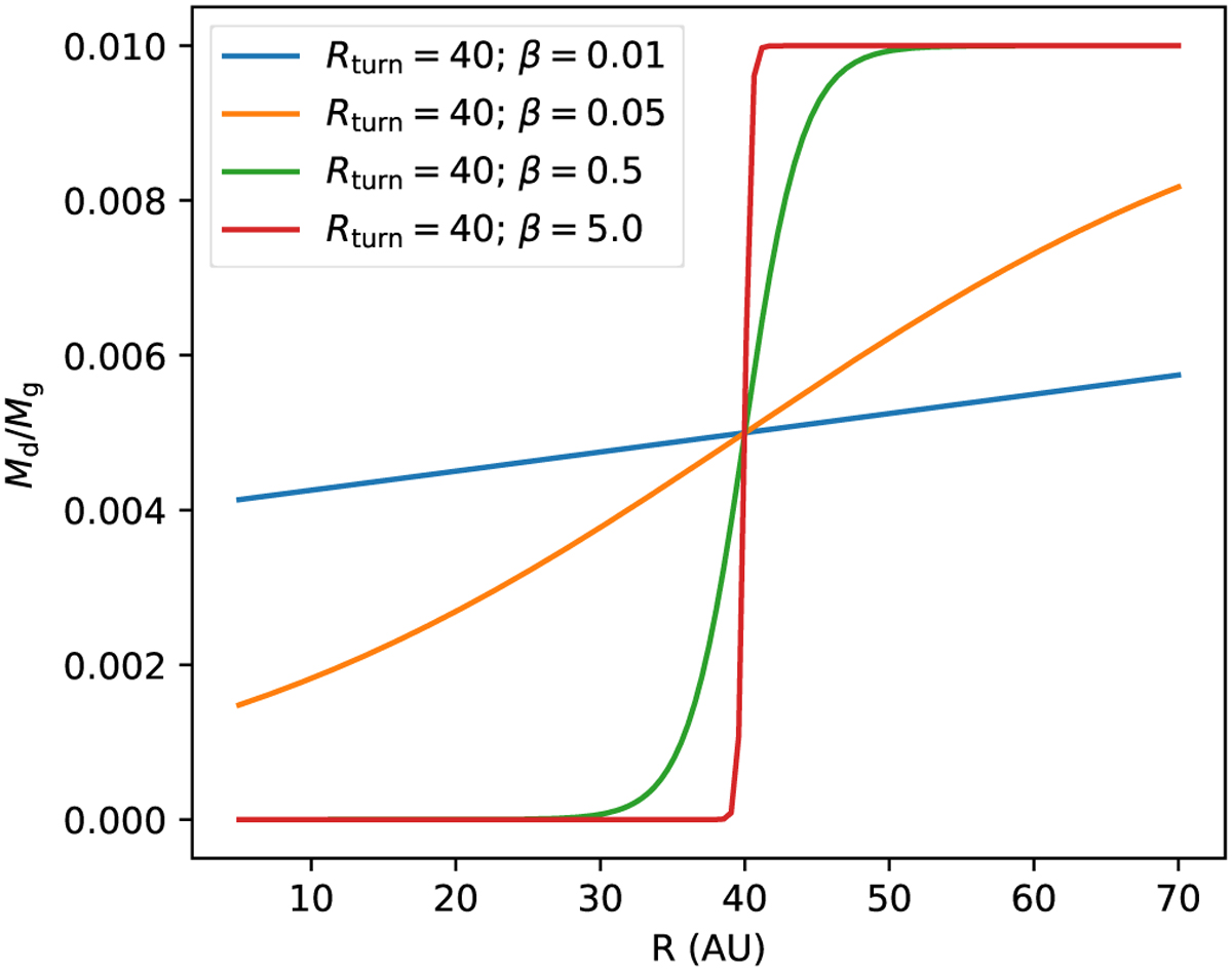
Fig. 2

image

Download original image

Illustration of the logistic function (Eq. (5)) used for varying the dust-to-gas mass ratio Md/Mg in the disk. The limiting values are fixed to the same values as in the models used for fitting: (Md/Mg)base = 10−8 and (Md/Mg)lim = 10−2. The value of the free parameter β is varied here to illustrate its effect.

Current usage metrics show cumulative count of Article Views (full-text article views including HTML views, PDF and ePub downloads, according to the available data) and Abstracts Views on Vision4Press platform.

Data correspond to usage on the plateform after 2015. The current usage metrics is available 48-96 hours after online publication and is updated daily on week days.

Initial download of the metrics may take a while.