Open Access

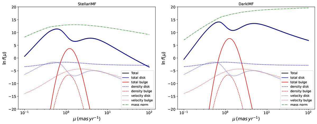
Fig. A.1.

image

Download original image

Density probabilities as a function of heliocentric relative proper motion for Gaia18ajz event for two mass functions, StellarIMF and DarkIMF, and their components from disk and bulge. Thin dashed lines show the density of lenses along the line of sight (distance prior), while dotted lines show the velocity (relative proper motion) priors. Dot-dashed line shows the mass function combined with the Jacobian.

Current usage metrics show cumulative count of Article Views (full-text article views including HTML views, PDF and ePub downloads, according to the available data) and Abstracts Views on Vision4Press platform.

Data correspond to usage on the plateform after 2015. The current usage metrics is available 48-96 hours after online publication and is updated daily on week days.

Initial download of the metrics may take a while.