Open Access

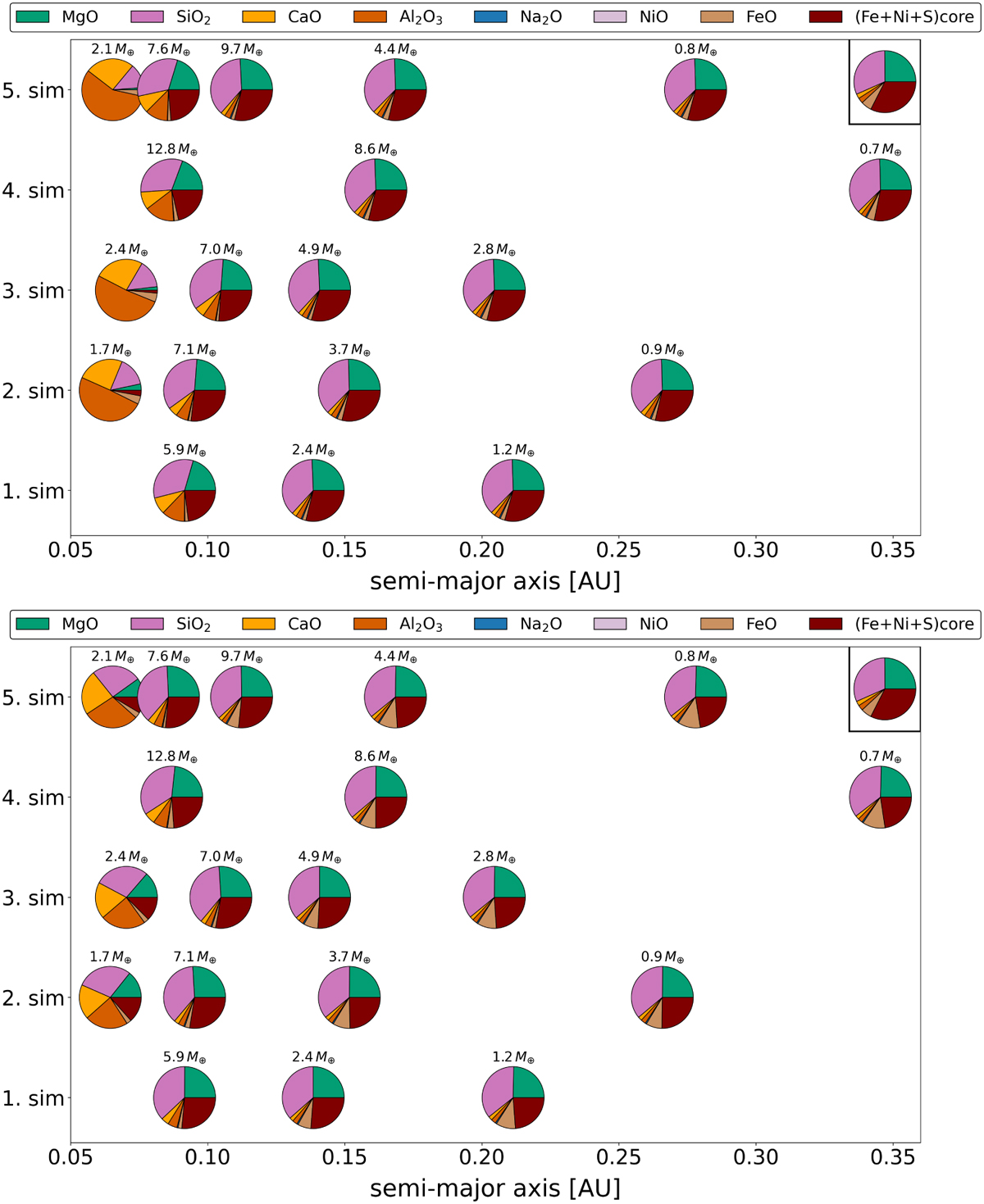
Fig. 14

image

Download original image

Interior composition (in wt%) of the simulated planets in five different systems around Kepler-62 (the lowest metallicity star). The planetesimal formation times of 0.2 Myr (the top five simulations) and 0.8 Myr (the bottom five simulations) are assumed. Only planets with semimajor axes within 0.4 AU are displayed. The Earth values taken from McDonough (2014) are shown for comparison (the upper right corner).

Current usage metrics show cumulative count of Article Views (full-text article views including HTML views, PDF and ePub downloads, according to the available data) and Abstracts Views on Vision4Press platform.

Data correspond to usage on the plateform after 2015. The current usage metrics is available 48-96 hours after online publication and is updated daily on week days.

Initial download of the metrics may take a while.