Open Access

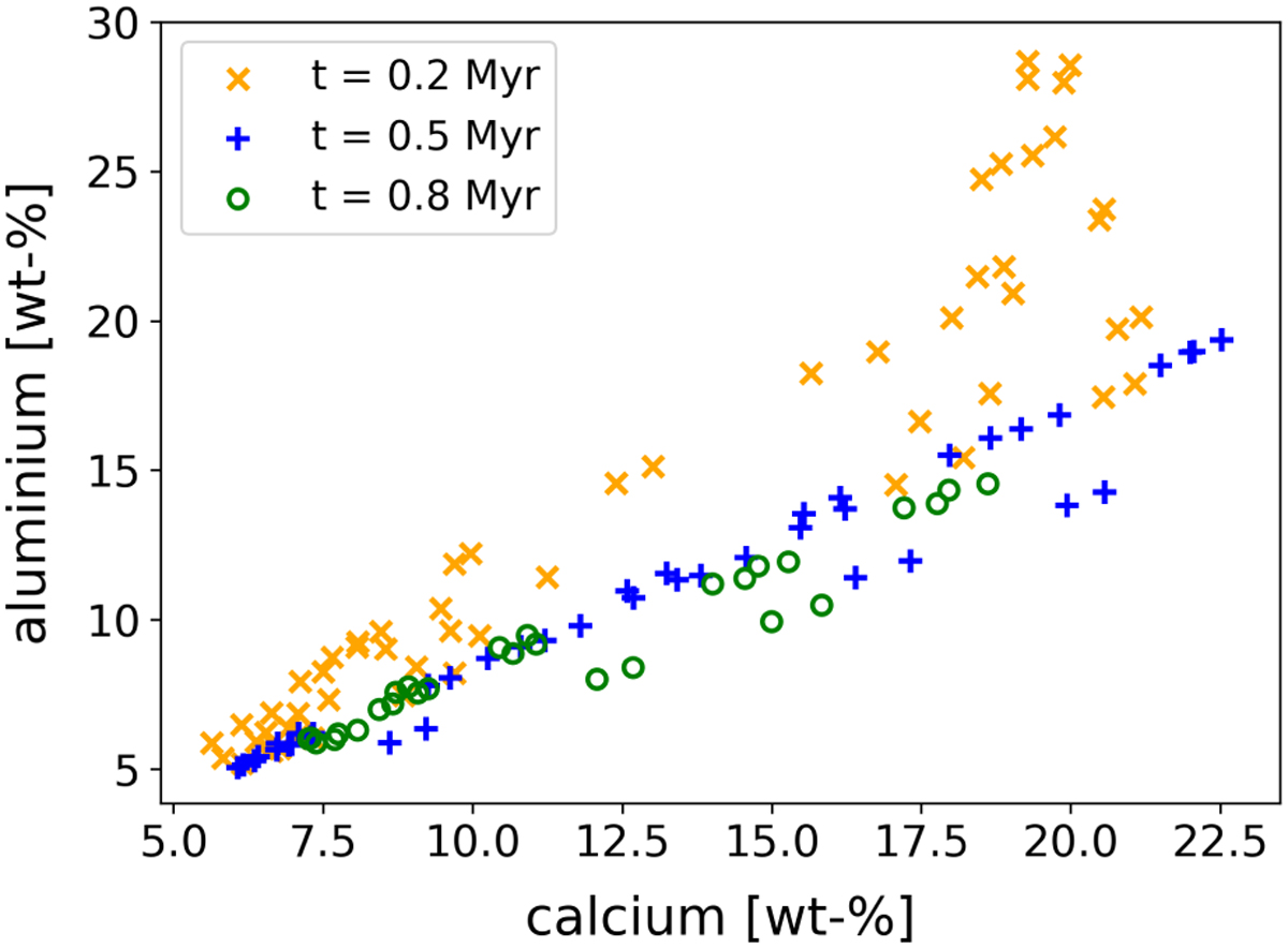
Fig. 18

image

Download original image

Mass fractions of Al versus Ca in the planetary sample using disk conditions around all six stars at three different formation times. Only bodies with both values above 5 wt% are displayed. For comparison, bulk Earth contains 1.59 and 1.71 wt% (McDonough 2014), and bulk Mars 1.56 and 1.69 wt% of Al and Ca, respectively (Yoshizaki & McDonough 2020).

Current usage metrics show cumulative count of Article Views (full-text article views including HTML views, PDF and ePub downloads, according to the available data) and Abstracts Views on Vision4Press platform.

Data correspond to usage on the plateform after 2015. The current usage metrics is available 48-96 hours after online publication and is updated daily on week days.

Initial download of the metrics may take a while.