Open Access

Fig. 4

image

Download original image

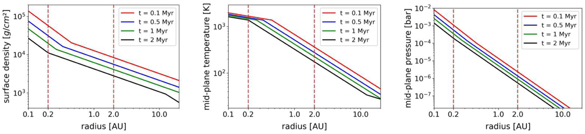
Radial profiles of surface density, mid-plane temperature, and pressure at various times throughout the evolution of the protoplanetary disk. The dashed brown lines at 0.2 and 2 AU illustrate the range of initial locations of planetesimals in our disk. The disk model is described in detail in Appendix B and its parameters are outlined in the text.

Current usage metrics show cumulative count of Article Views (full-text article views including HTML views, PDF and ePub downloads, according to the available data) and Abstracts Views on Vision4Press platform.

Data correspond to usage on the plateform after 2015. The current usage metrics is available 48-96 hours after online publication and is updated daily on week days.

Initial download of the metrics may take a while.