Open Access

Fig. 5.

image

Download original image

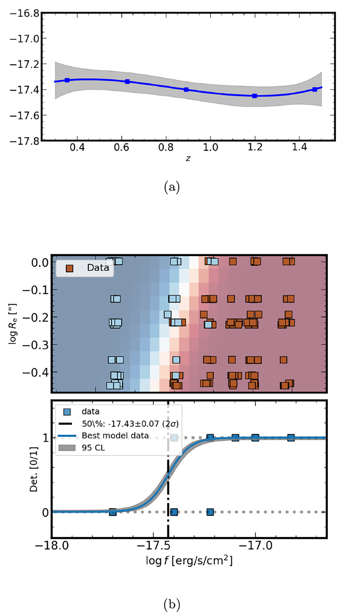
Completeness for [O II] emitters in the deep cube J0937+0656. (a) Completeness level (50%) as a function of redshifts. (b) Completeness as a function of size Re (top panel) and [O II] fluxes (bottom panel). The red (blue) squares represent the [O II] emitters detected (not detected), respectively. The shaded area represents the fit to the unbinned data.

Current usage metrics show cumulative count of Article Views (full-text article views including HTML views, PDF and ePub downloads, according to the available data) and Abstracts Views on Vision4Press platform.

Data correspond to usage on the plateform after 2015. The current usage metrics is available 48-96 hours after online publication and is updated daily on week days.

Initial download of the metrics may take a while.