Open Access

Fig. 2.

image

Download original image

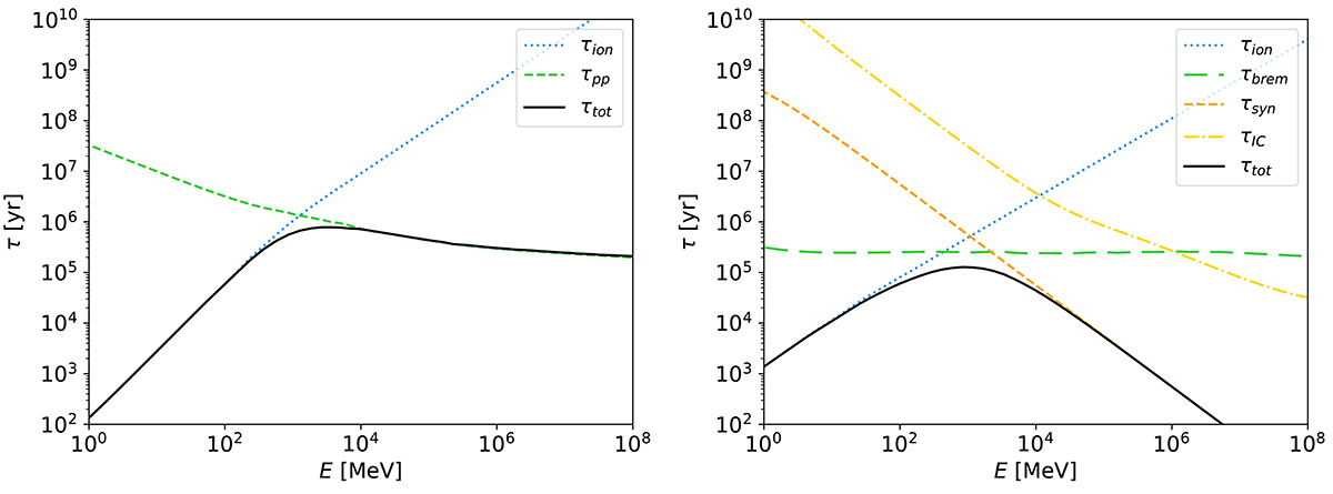
Characteristic timescales for CR energy losses in the CMZ (see Table 1 to see what parameters were adopted). Proton loss times for ionisation and p-p interactions (left panel) and electron loss times for ionisation, synchrotron, bremsstrahlung, and inverse Compton scattering (right panel).

Table 1.

Physical parameters adopted to model the CMZ.

This figure is made of several images, please see below:

Current usage metrics show cumulative count of Article Views (full-text article views including HTML views, PDF and ePub downloads, according to the available data) and Abstracts Views on Vision4Press platform.

Data correspond to usage on the plateform after 2015. The current usage metrics is available 48-96 hours after online publication and is updated daily on week days.

Initial download of the metrics may take a while.