Open Access

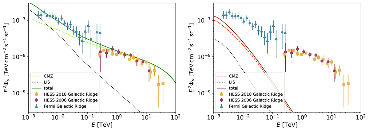
Fig. 4.

image

Download original image

γ-ray data for the CMZ region. Curves show theoretical results for hadronic (left panel) and leptonic (right panel) scenarios. Dashed lines show the emission from CRs accelerated within the CMZ (in a source located at the GC), while dotted lines show the contribution from ambient CRs, assumed to have a spectrum equal to the local interstellar one (LIS).

Current usage metrics show cumulative count of Article Views (full-text article views including HTML views, PDF and ePub downloads, according to the available data) and Abstracts Views on Vision4Press platform.

Data correspond to usage on the plateform after 2015. The current usage metrics is available 48-96 hours after online publication and is updated daily on week days.

Initial download of the metrics may take a while.