Open Access

Fig. 7.

image

Download original image

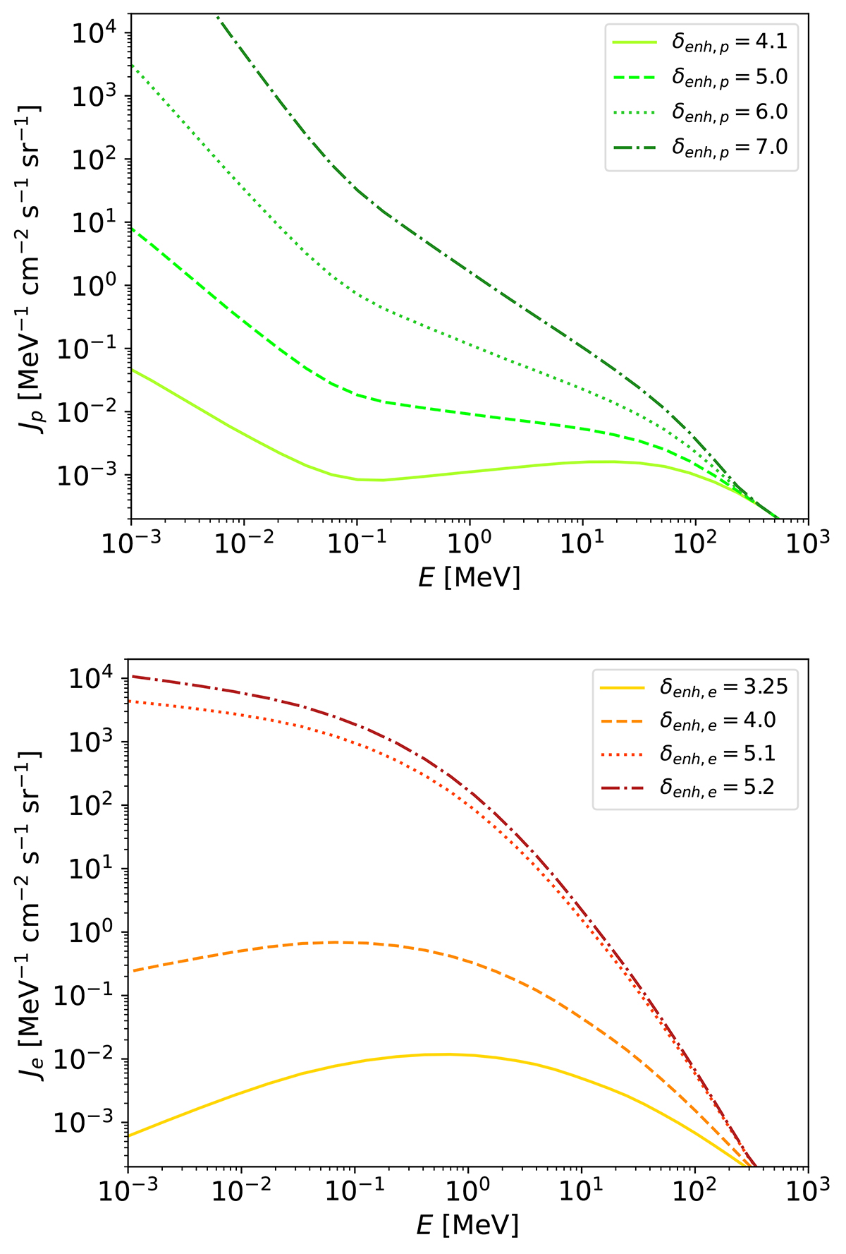
Steady-state CR intensities for protons (top) and electrons (bottom) averaged over the CMZ volume. Curves refer to different enhancements applied to the CR injection spectrum, as is indicated by the parameter δenh, i.

Current usage metrics show cumulative count of Article Views (full-text article views including HTML views, PDF and ePub downloads, according to the available data) and Abstracts Views on Vision4Press platform.

Data correspond to usage on the plateform after 2015. The current usage metrics is available 48-96 hours after online publication and is updated daily on week days.

Initial download of the metrics may take a while.