Open Access

Fig. 5.

image

Download original image

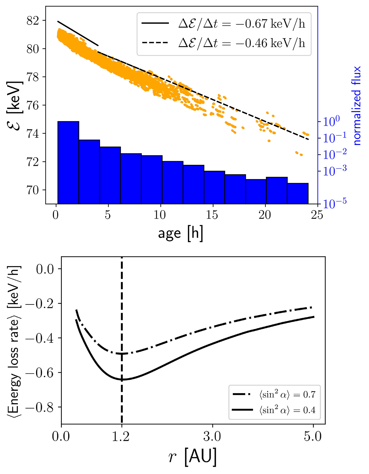
Simulation with λ = 0.5 AU. Top: energy vs. age (time since injection) for electrons near r = 1 AU. Linear fits of the decay rate for young (age < 4 h) and old (age ≥ 4 h) electrons are given. The normalized age distribution is also plotted. Bottom: Average energy-loss rate as a function of heliocentric distance r given by Eq. (13) for the extreme values of sin2α observed in Fig. 3.

Current usage metrics show cumulative count of Article Views (full-text article views including HTML views, PDF and ePub downloads, according to the available data) and Abstracts Views on Vision4Press platform.

Data correspond to usage on the plateform after 2015. The current usage metrics is available 48-96 hours after online publication and is updated daily on week days.

Initial download of the metrics may take a while.