Open Access

Fig. 6

image

Download original image

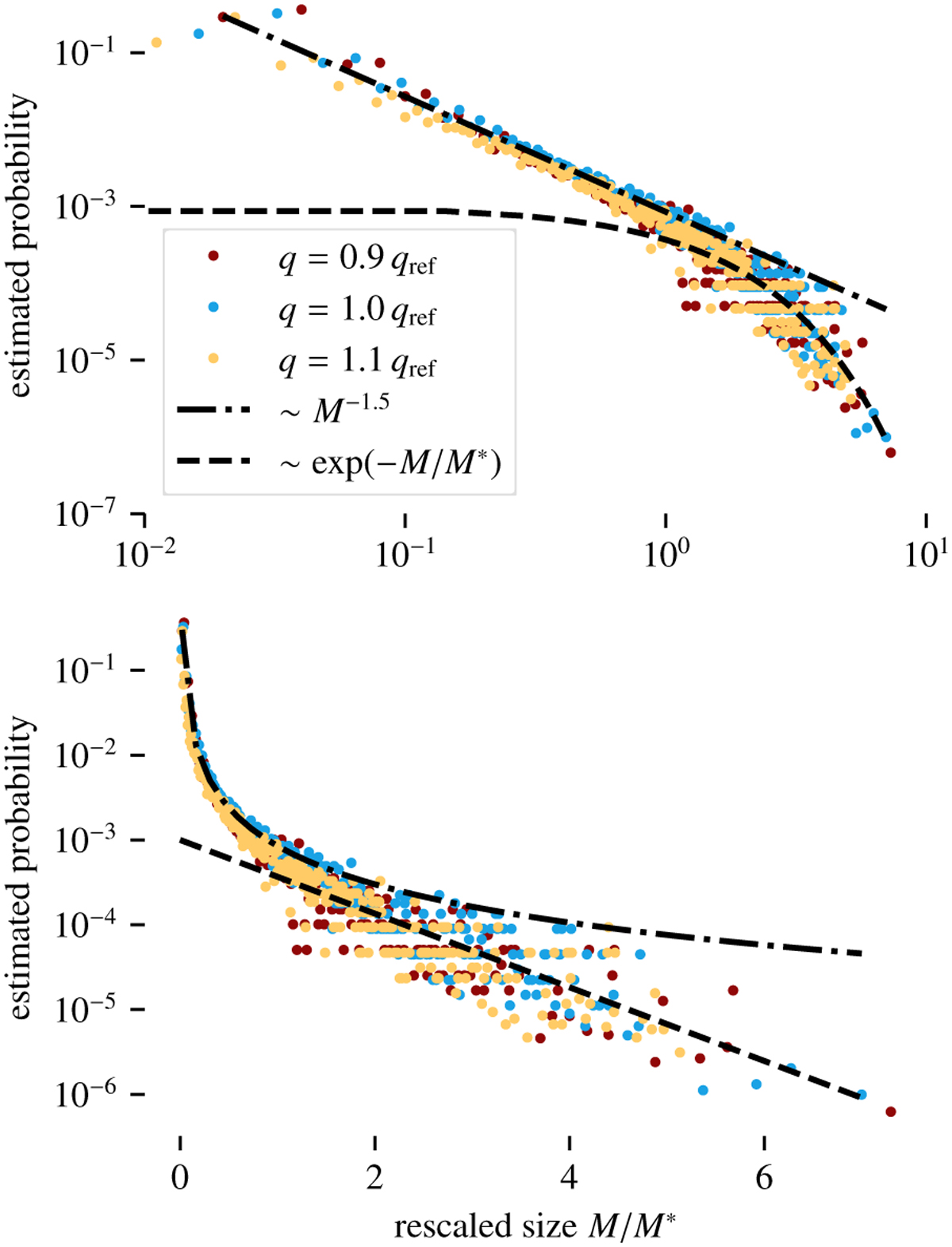
ASDs for three different charges at t = 98 years. All agglomerate sizes, M, are rescaled with characteristic sizes, M* (see Table 2), such that the tails have a slope of −1 in the semi-logarithmic (lower) plot. The exponential function and power law are included to guide the eye. The upper and lower plots show the same data but with logarithmically and linearly scaled abscissae, respectively.

Current usage metrics show cumulative count of Article Views (full-text article views including HTML views, PDF and ePub downloads, according to the available data) and Abstracts Views on Vision4Press platform.

Data correspond to usage on the plateform after 2015. The current usage metrics is available 48-96 hours after online publication and is updated daily on week days.

Initial download of the metrics may take a while.