Open Access

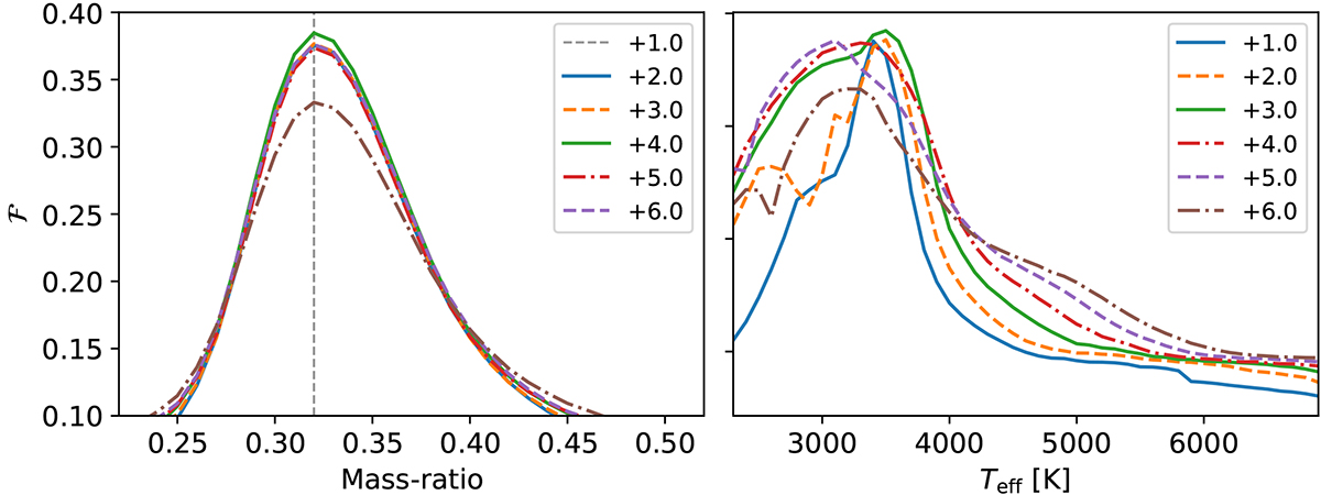
Fig. 3.

image

Download original image

BiSpeD analysis of the synthetic example correlated with different template grids; the colors correspond to the log g used. Left: Mass ratio cross section for the best effective temperature peak. Right: Effective temperature cross section for the best mass ratio.

Current usage metrics show cumulative count of Article Views (full-text article views including HTML views, PDF and ePub downloads, according to the available data) and Abstracts Views on Vision4Press platform.

Data correspond to usage on the plateform after 2015. The current usage metrics is available 48-96 hours after online publication and is updated daily on week days.

Initial download of the metrics may take a while.