Open Access

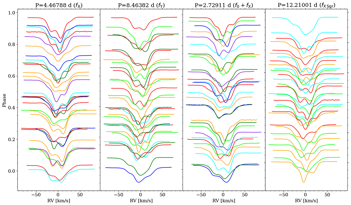
Fig. 18.

image

Download original image

CCFs of X Sgr phased based on four different periods indicated at the top of each panel. All CCFs are shifted according to RV for each observation. CCFs plotted here were collected for BJD from 2459338 to 2459383. Colors differentiate between different cycles.

Current usage metrics show cumulative count of Article Views (full-text article views including HTML views, PDF and ePub downloads, according to the available data) and Abstracts Views on Vision4Press platform.

Data correspond to usage on the plateform after 2015. The current usage metrics is available 48-96 hours after online publication and is updated daily on week days.

Initial download of the metrics may take a while.