Open Access

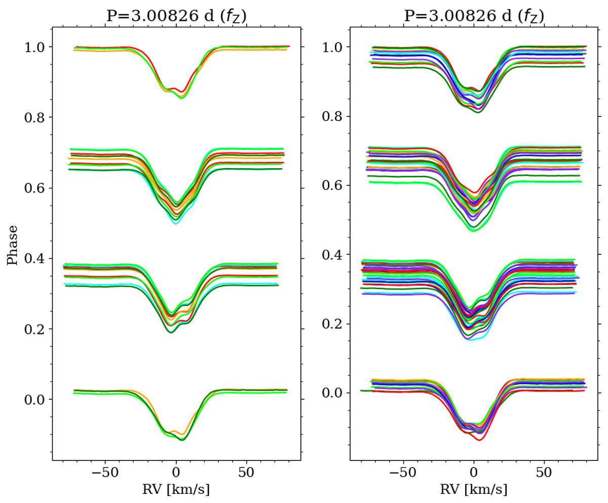
Fig. 19.

image

Download original image

CCFs of BG Cru phased based on period found in hump analysis. All CCFs are shifted according to RV for each observation. Colors differentiate between different cycles. Left panel: CCFs collected for BJD from 2459974 to 2459989 (five cycles of PZ). Right panel: CCFs collected for BJD from 2459974 to 2460019 (15 cycles of PZ).

Current usage metrics show cumulative count of Article Views (full-text article views including HTML views, PDF and ePub downloads, according to the available data) and Abstracts Views on Vision4Press platform.

Data correspond to usage on the plateform after 2015. The current usage metrics is available 48-96 hours after online publication and is updated daily on week days.

Initial download of the metrics may take a while.