Open Access

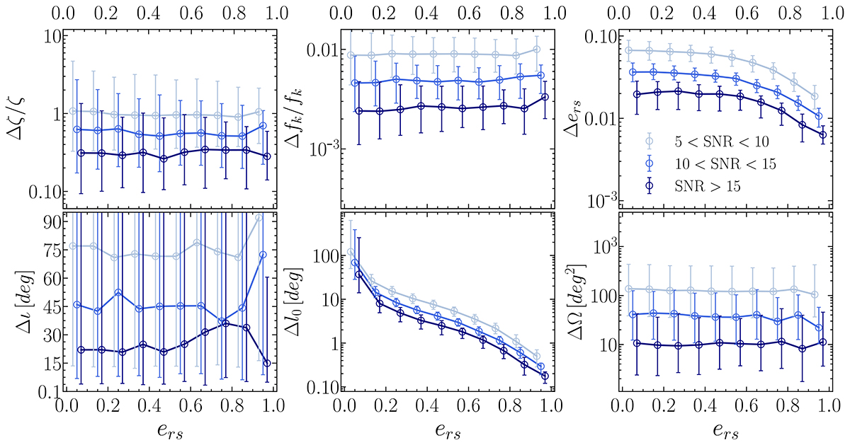
Fig. A.1.

image

Download original image

Accuracy for a 10-yr MPTA in recovering the source parameters as a function of the eccentricity of the detected source, ers: GW amplitude (Δζ/ζ, top left), Keplerian frequency (Δfk/fk, top middle), eccentricity (Δers, top right), inclination angle (Δi, bottom left), the initial phase of the orbit (Δl0, bottom middle), and sky localisation (ΔΩ, bottom right). All the results have been divided into three different S/N bins 3 < S/N < 10 (pale blue), 10 < S/N < 15 (blue) and S/N > 15 (dark blue).

Current usage metrics show cumulative count of Article Views (full-text article views including HTML views, PDF and ePub downloads, according to the available data) and Abstracts Views on Vision4Press platform.

Data correspond to usage on the plateform after 2015. The current usage metrics is available 48-96 hours after online publication and is updated daily on week days.

Initial download of the metrics may take a while.