Open Access

Fig. 3

image

Download original image

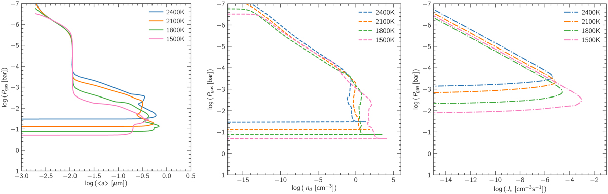
Average cloud particle size, 〈a〉 (left), cloud particle number density, nd (middle), and nucleation rate, J (right), in the atmosphere for models with TiO2 nucleation at Teff = 2400 K, 2100 K, 1800 K, and 1500 K, and log(ɡ) = 4.0. The corresponding PgasTgas profiles are shown in Fig. 2.

Current usage metrics show cumulative count of Article Views (full-text article views including HTML views, PDF and ePub downloads, according to the available data) and Abstracts Views on Vision4Press platform.

Data correspond to usage on the plateform after 2015. The current usage metrics is available 48-96 hours after online publication and is updated daily on week days.

Initial download of the metrics may take a while.