Open Access

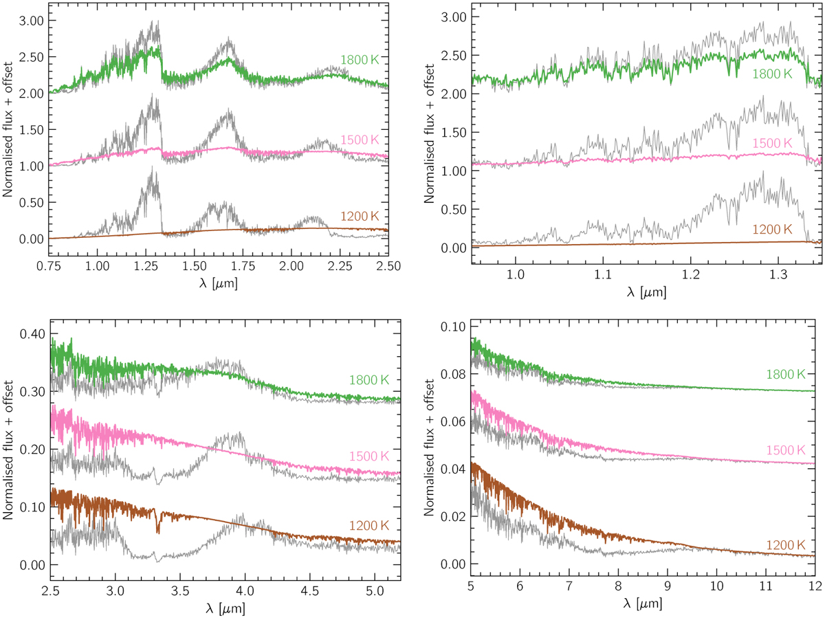
Fig. 9

image

Download original image

Synthetic spectra of MSG models with SiO nucleation at Teff = 1800 K (green), 1500 K (pink), and 1200 K (brown), with log(ɡ) = 4.0, and the respective cloud-free spectra at the same effective temperatures and log(ɡ) in grey. The emergent fluxes are normalised with respect to the cloud-free MSG spectra as detailed in the caption of Fig. 5, and an arbitrary offset is added for clarity. In the top left plots we show the NIR range, in the top right the Y and J bands, in the bottom left the MIR, and the bottom right the thermal infrared. For a reference on the location of important absorbers see Fig. 5.

Current usage metrics show cumulative count of Article Views (full-text article views including HTML views, PDF and ePub downloads, according to the available data) and Abstracts Views on Vision4Press platform.

Data correspond to usage on the plateform after 2015. The current usage metrics is available 48-96 hours after online publication and is updated daily on week days.

Initial download of the metrics may take a while.