Open Access

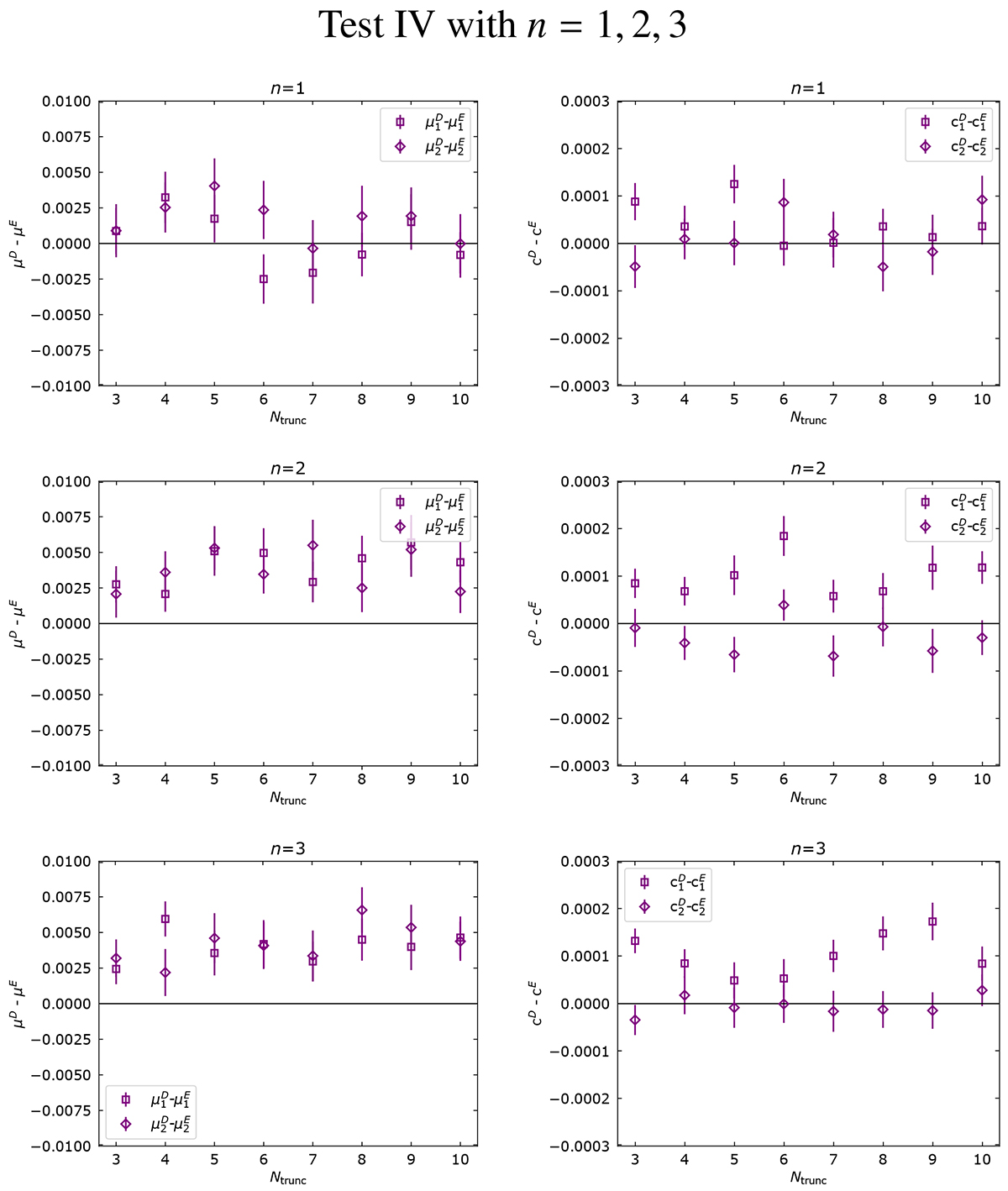
Fig. 14.

image

Download original image

Analysis of the impact of introducing a truncation radius for input galaxies. Multiplicative (left panel) and additive (right panel) shear bias differences obtained when using a truncation radius for the input galaxies, a pixel scale of 0 . 04 $ 0{{\overset{\prime\prime}{.}}}04 $, and a quintic interpolation kernel (test IV with n = 1, 2, 3), as described in Sect. 5.6. In each row, the results for a specified Sérsic index n are shown. The data points show the bias obtained from the fit with the error bars indicating 1σ uncertainties for a number of galaxies Ngal ≃ 77.0 × 106 for S/N ≃ 30.

Current usage metrics show cumulative count of Article Views (full-text article views including HTML views, PDF and ePub downloads, according to the available data) and Abstracts Views on Vision4Press platform.

Data correspond to usage on the plateform after 2015. The current usage metrics is available 48-96 hours after online publication and is updated daily on week days.

Initial download of the metrics may take a while.