Open Access

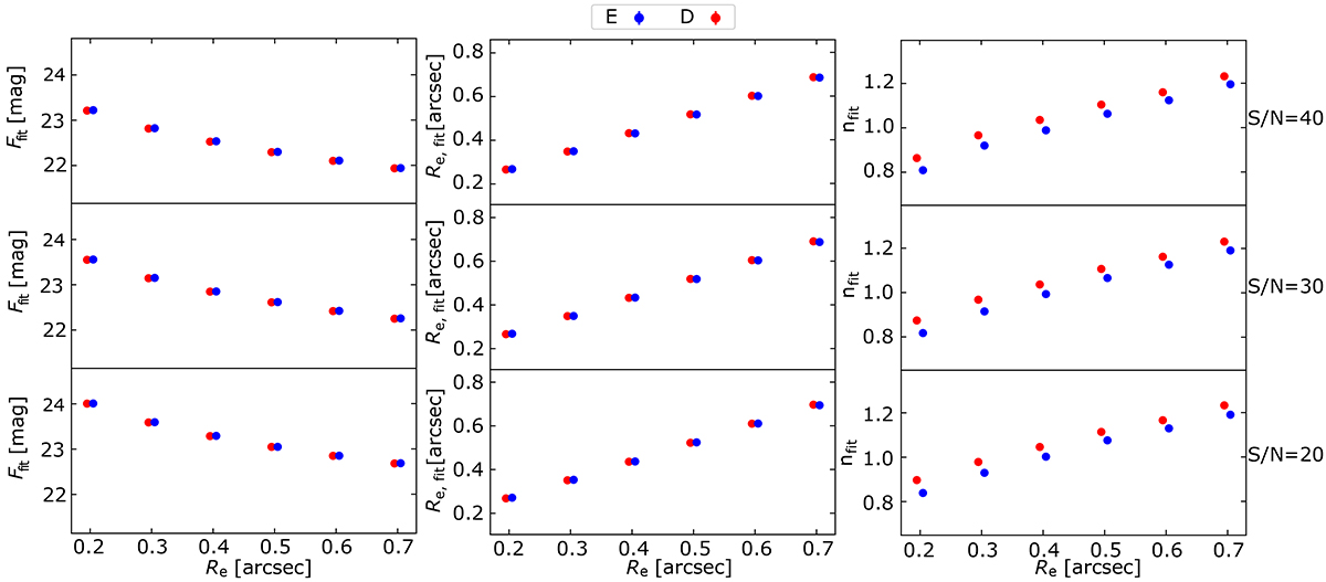
Fig. 3.

image

Download original image

Results from the galaxy model fits for test I using the native HST/ACS and Euclid/VIS pixel scales, for a number of galaxies Ngal ≃ 104, as described in Sect. 5.1. The fitted parameters Re, fit[″], Ffit[mag], and nfit are shown as a function of the input Re in arcsec for both the output galaxies D and E and for three values of the S/N. The data points are the average over the number of galaxies in each sample. The error bars, representing the 1σ uncertainty on the mean, are smaller than the size of the points and, thus, they are not visible.

Current usage metrics show cumulative count of Article Views (full-text article views including HTML views, PDF and ePub downloads, according to the available data) and Abstracts Views on Vision4Press platform.

Data correspond to usage on the plateform after 2015. The current usage metrics is available 48-96 hours after online publication and is updated daily on week days.

Initial download of the metrics may take a while.