Open Access

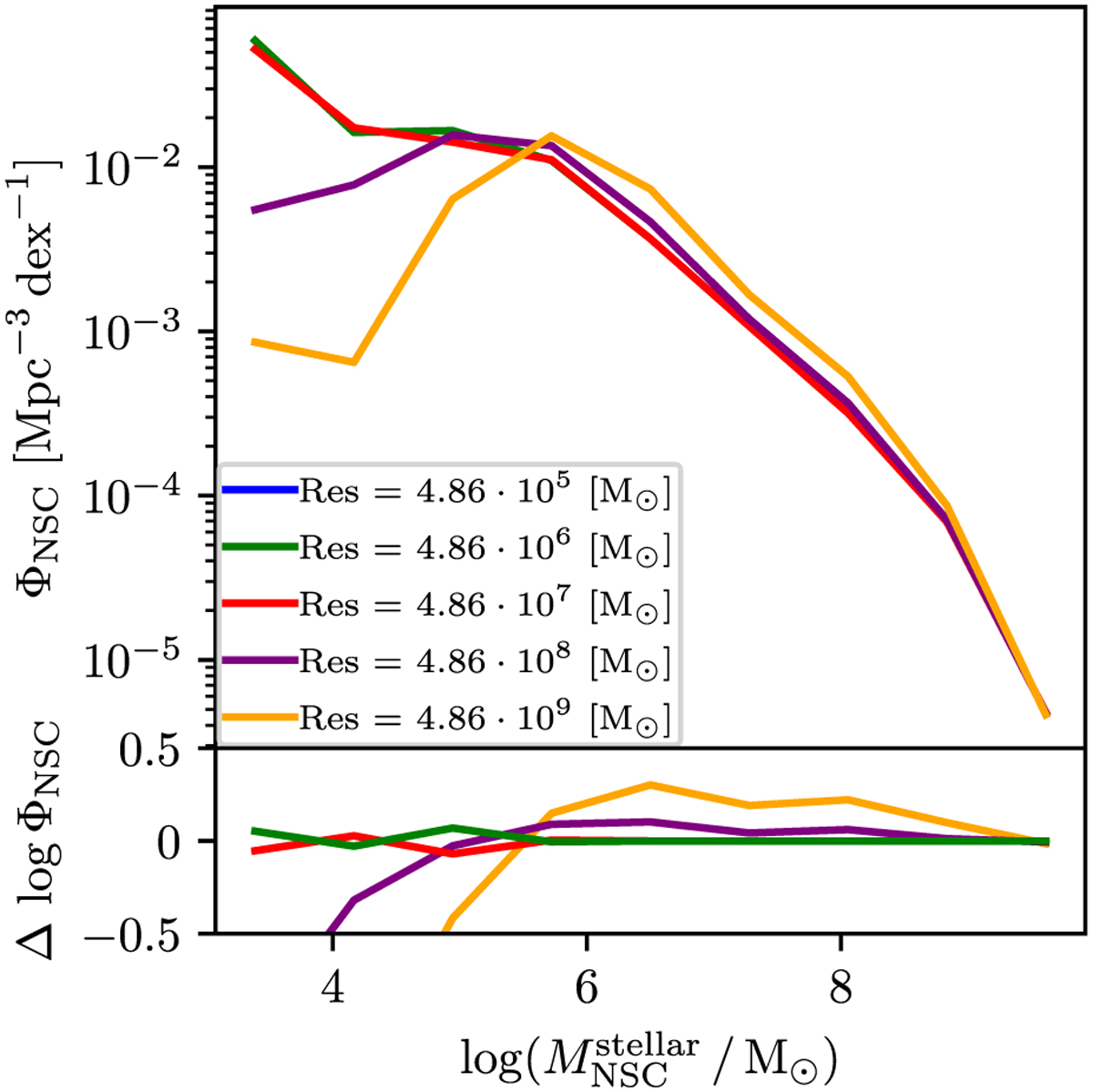
Fig. A.1

image

Download original image

NSC mass function for the different mass resolutions specified in the legend. The error is relative to model A4, which has a higher mass resolution (4.86 × 105 M and color blue).

Current usage metrics show cumulative count of Article Views (full-text article views including HTML views, PDF and ePub downloads, according to the available data) and Abstracts Views on Vision4Press platform.

Data correspond to usage on the plateform after 2015. The current usage metrics is available 48-96 hours after online publication and is updated daily on week days.

Initial download of the metrics may take a while.