Open Access

Fig. 3

image

Download original image

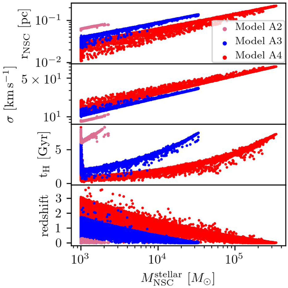
Radius of the NSC (rNSC) multiplied by the respective efficiency (ϵr), velocity dispersion (σ) at rNSC, age of the system (tH), and the redshift as a function of the stellar mass of the NSC for models A2 (rose dots), A3 (blue dots), and A4 (red dots). Mthreshold = 103 M and Ares = 10−1 for all the models. The values of ϵr are 0.5, 0.2, and 0.1 for models A2, A3, and A4, respectively, as listed in Table 1. These properties are extracted at the moment at which the conditions to form a BH seed are fulfilled (McritMNSCstellar${M_{{\rm{crit}}}} \le M_{{\rm{NSC}}}^{{\rm{stellar}}}$ and MthresholdMNSCstellar${M_{{\rm{threshold}}}} \le M_{{\rm{NSC}}}^{{\rm{stellar}}}$). Model A1 does not form any BH seed.

Current usage metrics show cumulative count of Article Views (full-text article views including HTML views, PDF and ePub downloads, according to the available data) and Abstracts Views on Vision4Press platform.

Data correspond to usage on the plateform after 2015. The current usage metrics is available 48-96 hours after online publication and is updated daily on week days.

Initial download of the metrics may take a while.