Open Access

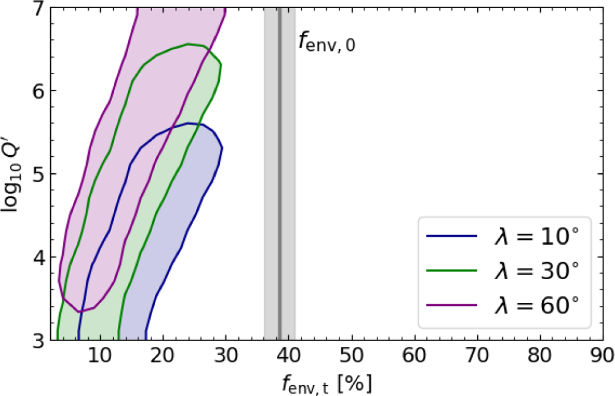
Fig. 9

image

Download original image

Estimate of the envelope mass fraction, fenv, of TOI-5108 b using the model from Millholland et al. (2020). The grey bar is the calculated envelope fraction with the associated error in the tides-free model. The shaded regions show the 2-σ contours of the envelope fraction for different obliquities, λ.

Current usage metrics show cumulative count of Article Views (full-text article views including HTML views, PDF and ePub downloads, according to the available data) and Abstracts Views on Vision4Press platform.

Data correspond to usage on the plateform after 2015. The current usage metrics is available 48-96 hours after online publication and is updated daily on week days.

Initial download of the metrics may take a while.