Open Access

Fig. 10.

image

Download original image

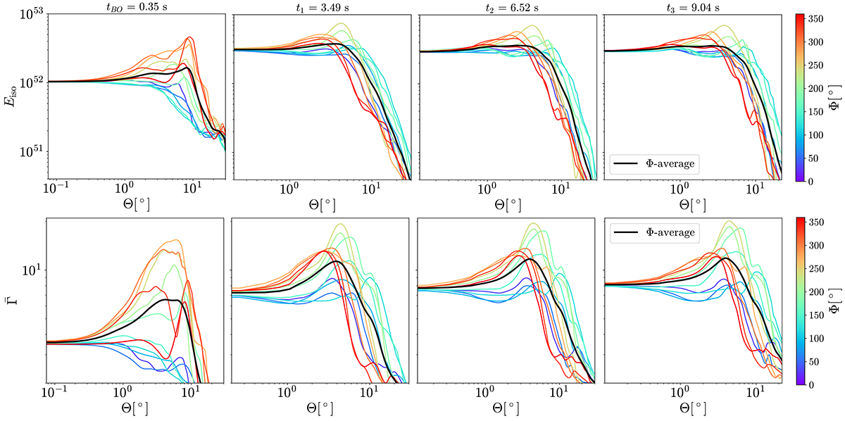
Isotropic equivalent energy (top) and radially averaged Lorentz factor (bottom) of the jet head (see Sect. 2.3) as functions of the angular distance from the jet injection axis Θ, at four different times (after jet injection). Different colours correspond to different azimuthal angles Φ and the thick blue line represents the Φ-averaged results. All quantities are in logarithmic scale.

Current usage metrics show cumulative count of Article Views (full-text article views including HTML views, PDF and ePub downloads, according to the available data) and Abstracts Views on Vision4Press platform.

Data correspond to usage on the plateform after 2015. The current usage metrics is available 48-96 hours after online publication and is updated daily on week days.

Initial download of the metrics may take a while.