Open Access

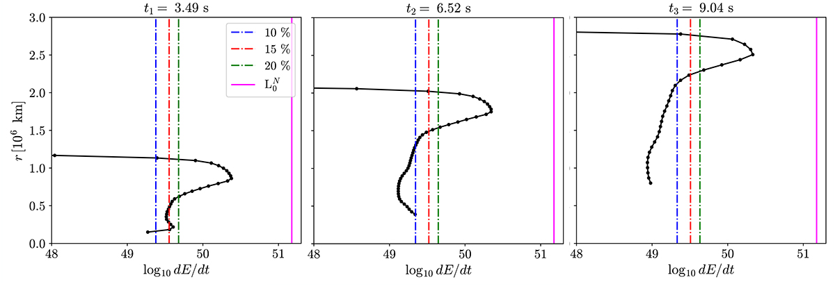
Fig. 2.

image

Download original image

Kinetic power computed at different radii for the three representative times. In each panel, the blue, red, and green dot-dashed lines correspond to 10%, 15%, and 20% of the maximum dE/dt, respectively. The continuous magenta line marks the initial luminosity of the jet at injection (north side only).

Current usage metrics show cumulative count of Article Views (full-text article views including HTML views, PDF and ePub downloads, according to the available data) and Abstracts Views on Vision4Press platform.

Data correspond to usage on the plateform after 2015. The current usage metrics is available 48-96 hours after online publication and is updated daily on week days.

Initial download of the metrics may take a while.