Open Access

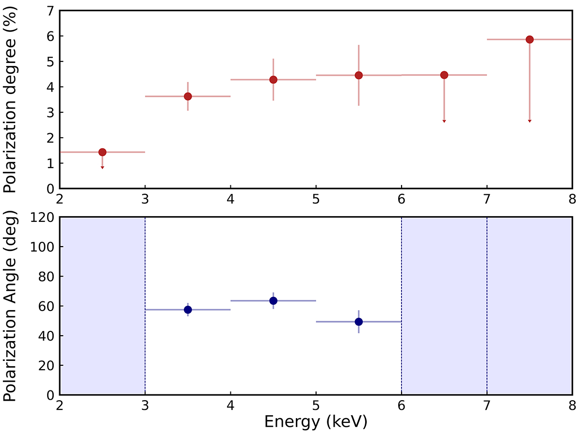
Fig. 4.

image

Download original image

Polarization degree (top) and PA (bottom) as a function of energy. Above 6 keV, the polarization is compatible with zero, and we report upper limits at the 90% c.l., while the PA is unconstrained.

Current usage metrics show cumulative count of Article Views (full-text article views including HTML views, PDF and ePub downloads, according to the available data) and Abstracts Views on Vision4Press platform.

Data correspond to usage on the plateform after 2015. The current usage metrics is available 48-96 hours after online publication and is updated daily on week days.

Initial download of the metrics may take a while.