Open Access

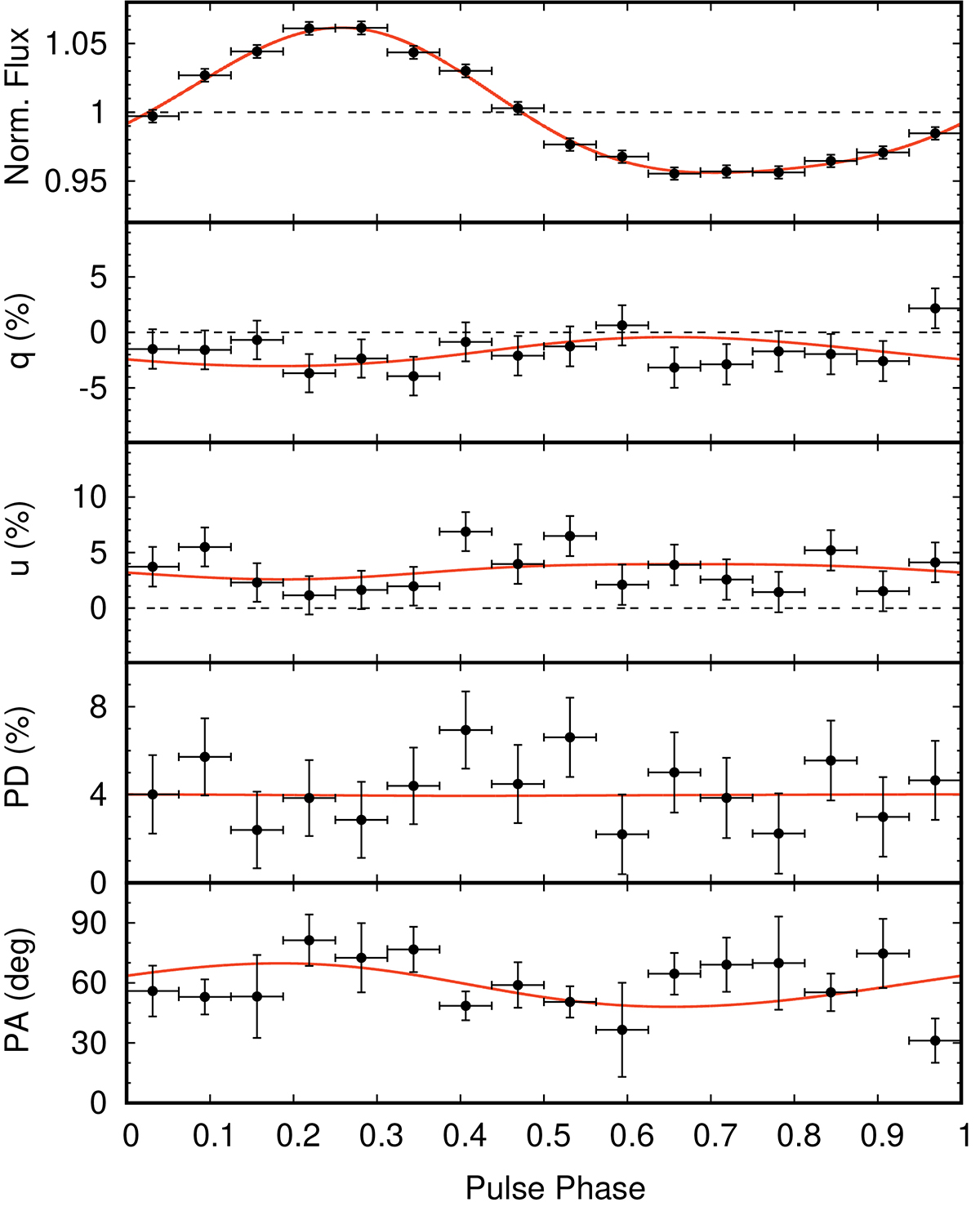
Fig. 7.

image

Download original image

Pulse-phase dependence of the polarimetric properties. From top to bottom: Total flux normalized to the average, normalized Stokes parameters q = Q/I and u = U/I, and the PD and PA observed by IXPE during the interval MJD 60 367.6–60 376.5 as a function of the spin phase. The solid red line indicates the model obtained by fitting the absolute Stokes parameters assuming two point-like spots and the parameters listed in the text.

Current usage metrics show cumulative count of Article Views (full-text article views including HTML views, PDF and ePub downloads, according to the available data) and Abstracts Views on Vision4Press platform.

Data correspond to usage on the plateform after 2015. The current usage metrics is available 48-96 hours after online publication and is updated daily on week days.

Initial download of the metrics may take a while.