Open Access

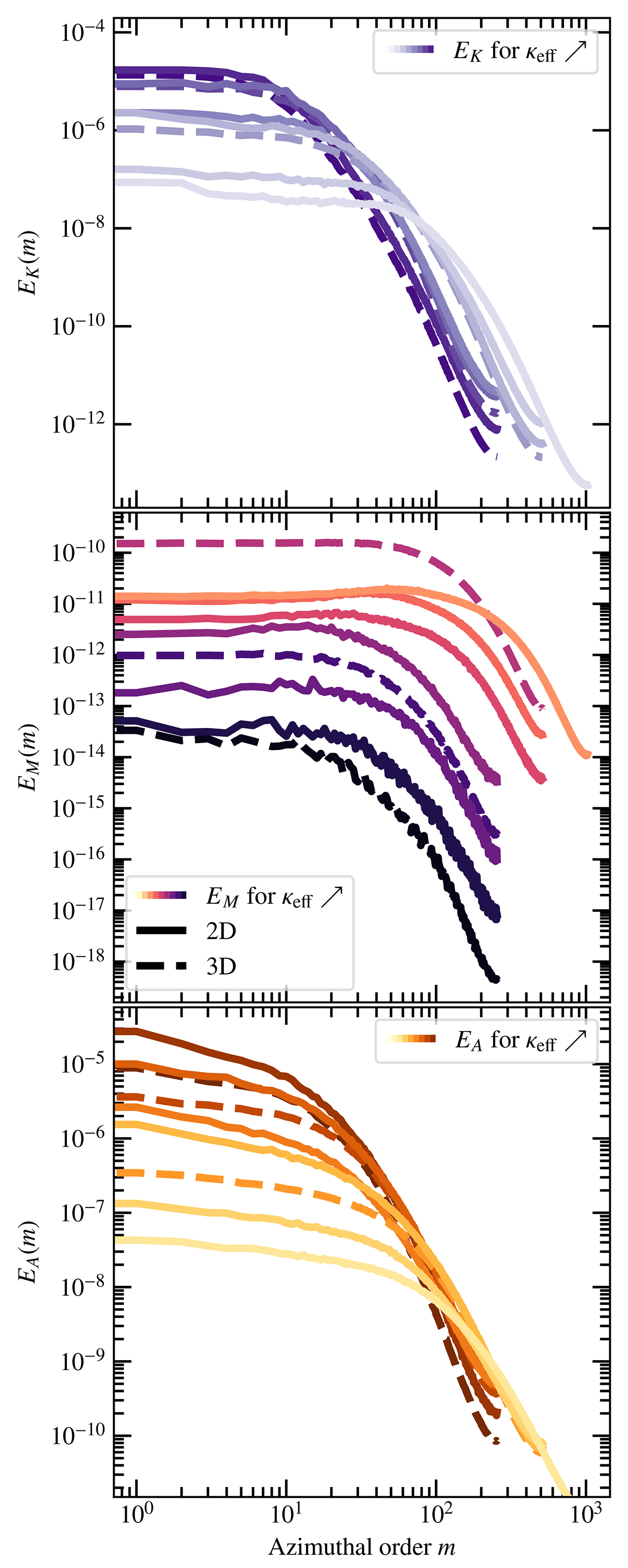
Fig. 4.

image

Download original image

Radially averaged spectra plotted against the azimuthal order m for all simulations in Table 2. Darker colours correspond to a higher κeff. Dashed lines are for 3D runs, and regular lines are for 2D runs. Top row: Kinetic energy spectral density. Middle row: Magnetic energy spectral density. Bottom row: APE spectral density.

Current usage metrics show cumulative count of Article Views (full-text article views including HTML views, PDF and ePub downloads, according to the available data) and Abstracts Views on Vision4Press platform.

Data correspond to usage on the plateform after 2015. The current usage metrics is available 48-96 hours after online publication and is updated daily on week days.

Initial download of the metrics may take a while.