Open Access

Fig. 6.

image

Download original image

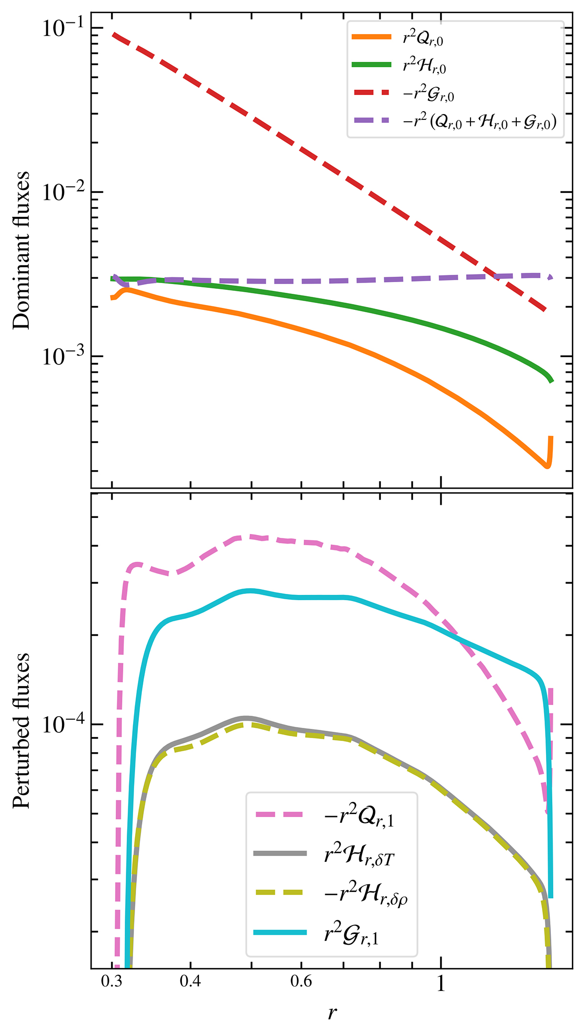
Energy transport in the 3D simulation F0. Top: Dominant equilibrium between Braginskii heat, enthalpy, and gravitational energy fluxes, Eqs. (24), (26), and (28), in the energy flux budget, Eq. (20), at the quasi steady state. Bottom: Subdominant perturbed energy fluxes, Eqs. (25), (27), and (29). Dashed lines are indicative of negative quantities whose sign has been switched for the purpose of visualisation.

Current usage metrics show cumulative count of Article Views (full-text article views including HTML views, PDF and ePub downloads, according to the available data) and Abstracts Views on Vision4Press platform.

Data correspond to usage on the plateform after 2015. The current usage metrics is available 48-96 hours after online publication and is updated daily on week days.

Initial download of the metrics may take a while.