Open Access

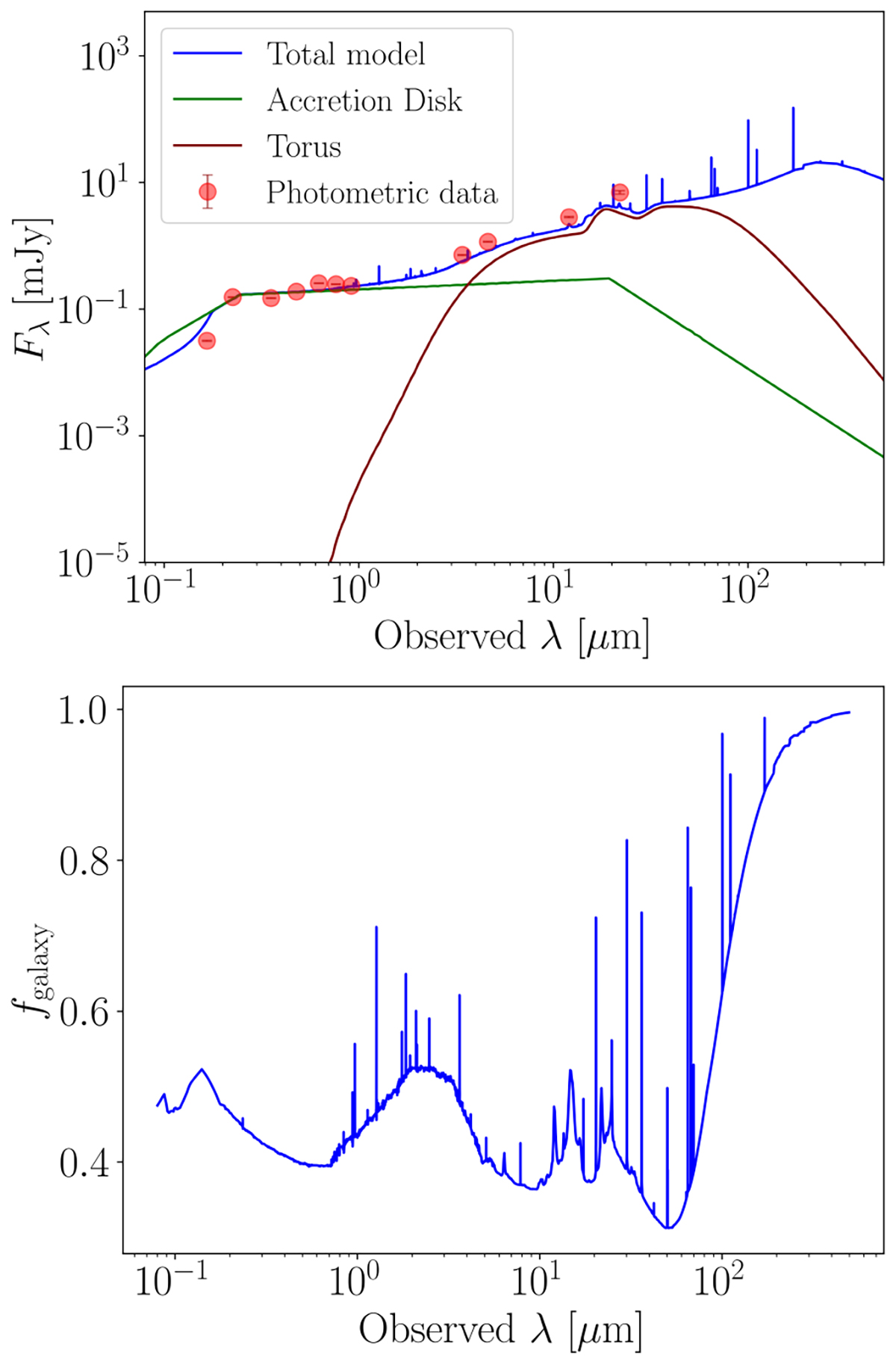
Fig. 12.

image

Download original image

Separation of AGN and host galaxy contribution. Top panel: Contribution of the principal AGN Components in the UV–IR range, the accretion disc and the torus, in the total SED of the host galaxy. Bottom panel: Relative contribution of the emission from the host galaxy in the IR–UV part of the SED, following Eq. (2). The emission lines are from the full-physics model and are not present in the AGN-only model. The host galaxy contributes about 50% of the total luminosity at lower wavelengths, and very little at higher wavelengths. See Sects. 3.4 and 4 for more discussions.

Current usage metrics show cumulative count of Article Views (full-text article views including HTML views, PDF and ePub downloads, according to the available data) and Abstracts Views on Vision4Press platform.

Data correspond to usage on the plateform after 2015. The current usage metrics is available 48-96 hours after online publication and is updated daily on week days.

Initial download of the metrics may take a while.