Open Access

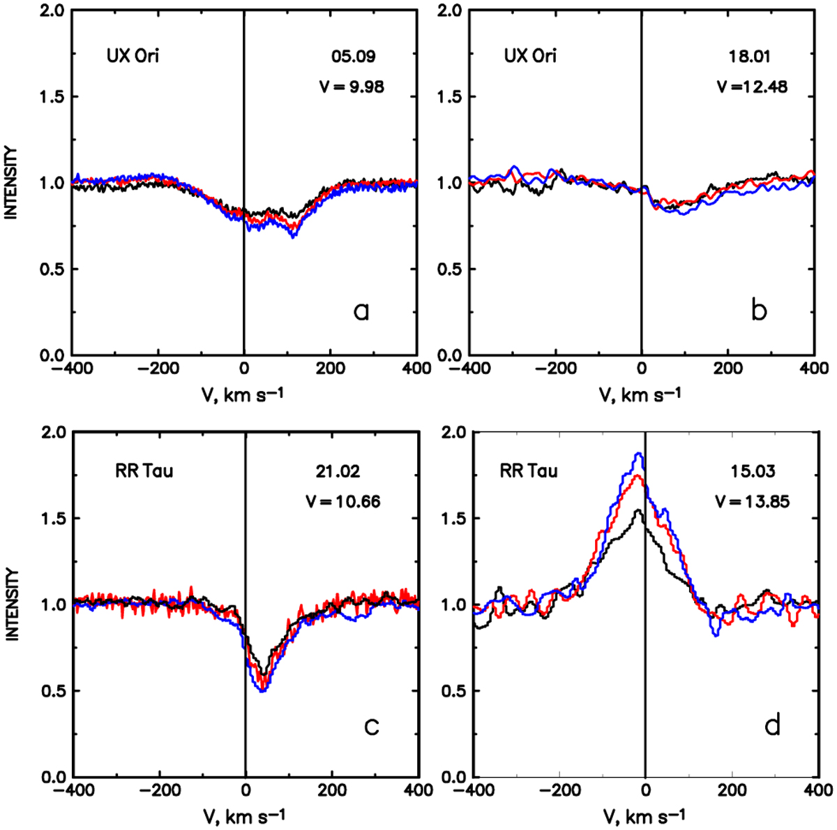
Fig. 10

image

Download original image

Changes in the FeII multiplet in the bright state and during eclipses. Upper panel: UX Ori. The bright state (left), and the deep minimum (right). Lower panel: RR Tau. The bright state (left), and the deep minimum (right). Brightness in the visible is shown in each plot. The multiplet components are (in Å): 4924 (black), 5018 (red), and 5069 (blue). The dates of the bright and weak states of stars are the same as in Fig. 7.

Current usage metrics show cumulative count of Article Views (full-text article views including HTML views, PDF and ePub downloads, according to the available data) and Abstracts Views on Vision4Press platform.

Data correspond to usage on the plateform after 2015. The current usage metrics is available 48-96 hours after online publication and is updated daily on week days.

Initial download of the metrics may take a while.