Open Access

Fig. 7

image

Download original image

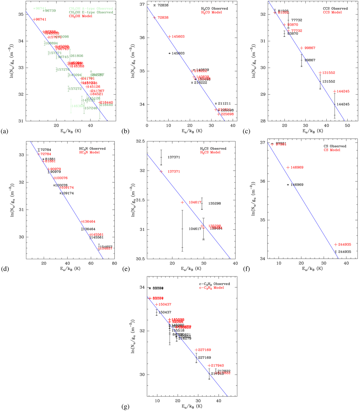
Population diagrams of (a) CH3OH, (b) H2CO, (c) CCS, (d) HC3N, (e) H2CS, (f) CS, and (g) c-C3H2. The black points (green in the case of CH3OH) represent the observations, and the red points correspond to the Weeds synthetic spectra computed with the parameters given in Table 4. The blue line shows a fit to the observed data points.

Current usage metrics show cumulative count of Article Views (full-text article views including HTML views, PDF and ePub downloads, according to the available data) and Abstracts Views on Vision4Press platform.

Data correspond to usage on the plateform after 2015. The current usage metrics is available 48-96 hours after online publication and is updated daily on week days.

Initial download of the metrics may take a while.