Open Access

Fig. 3

image

Download original image

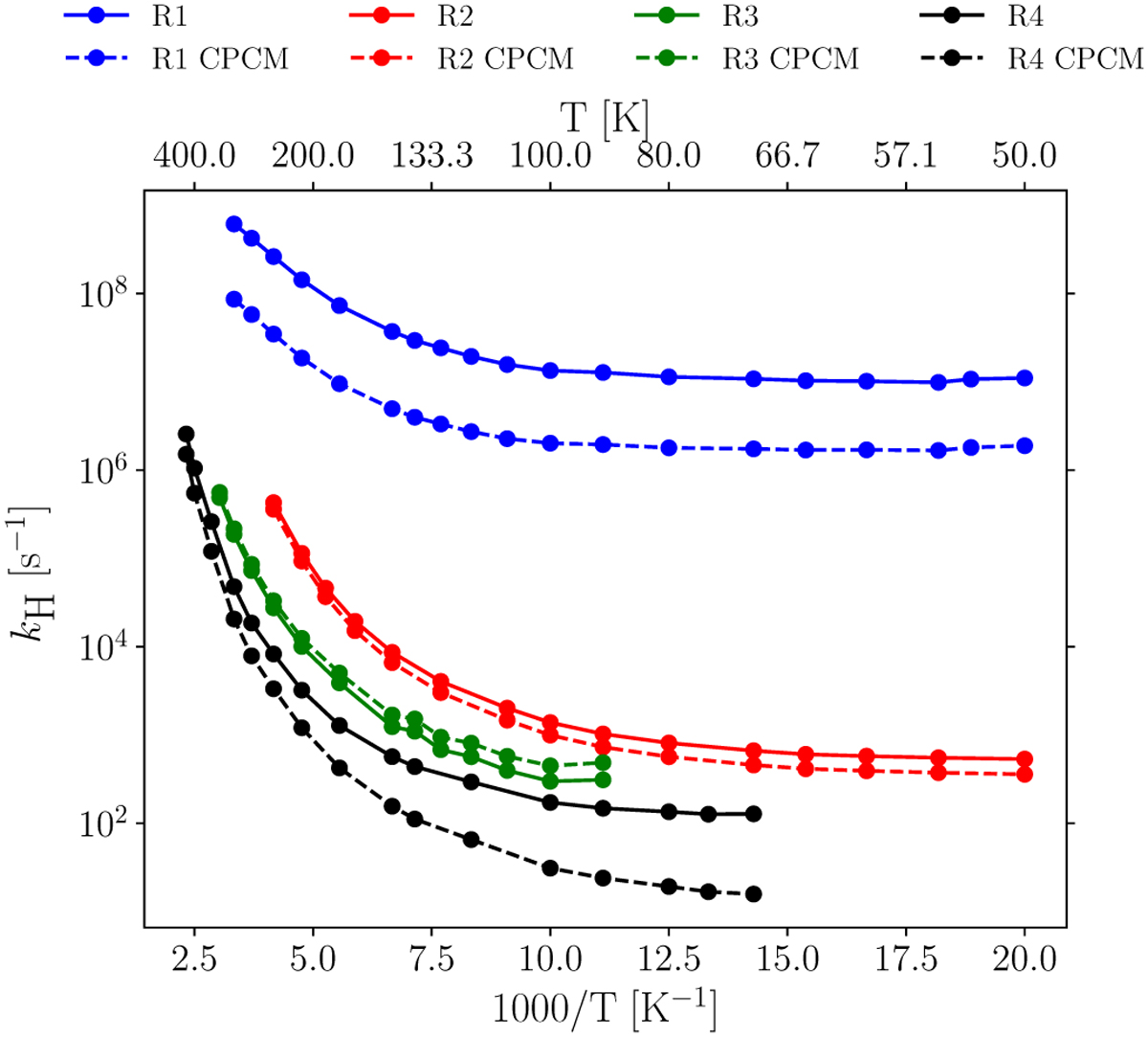
Arrhenius plot of the hydrogenation rate constants (kH) for Reactions (R1)(R4) including (dashed lines) and not including (solid lines) an implicit solvation model. All rate constants have been corrected for the implicit surface. Rate constants are presented until the lowest temperature achievable for each instanton in the sequential cooling scheme.

Current usage metrics show cumulative count of Article Views (full-text article views including HTML views, PDF and ePub downloads, according to the available data) and Abstracts Views on Vision4Press platform.

Data correspond to usage on the plateform after 2015. The current usage metrics is available 48-96 hours after online publication and is updated daily on week days.

Initial download of the metrics may take a while.