Open Access

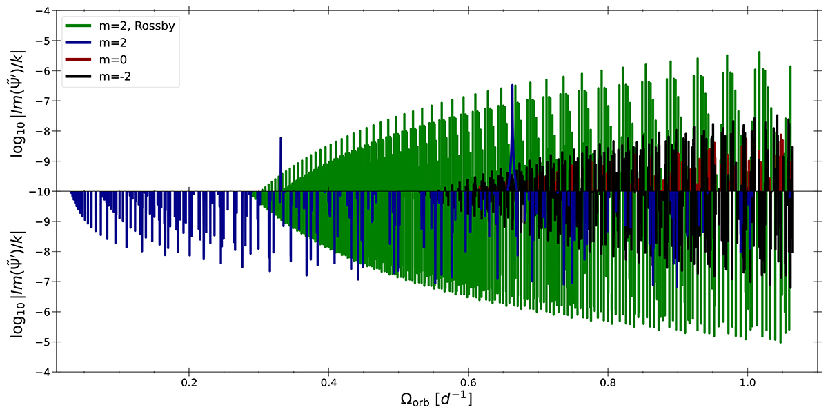
Fig. 12.

image

Download original image

Scan of the surface imaginary part of the potential perturbation as a function of the orbital rotation rate. The system studied is a twin binary system composed of 3.5 M stars with a stellar rotation frequency of 0.5 Ωcrit = 1.89 d−1 and an orbital eccentricity of e = 0.7. The top panel corresponds to positive values of the potential perturbation, while the lower panel corresponds to negative values. The amplitudes of all the oscillation modes have been divided by k to magnify their width.

Current usage metrics show cumulative count of Article Views (full-text article views including HTML views, PDF and ePub downloads, according to the available data) and Abstracts Views on Vision4Press platform.

Data correspond to usage on the plateform after 2015. The current usage metrics is available 48-96 hours after online publication and is updated daily on week days.

Initial download of the metrics may take a while.