Open Access

Fig. 2.

image

Download original image

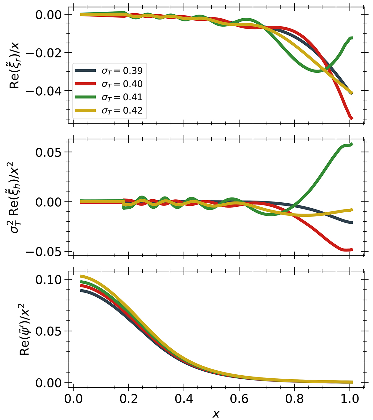
Eigenfunctions of the mode  = 2, m = 0, and k = 1 for the twin binary system composed of 5.0 M SPB stars with an eccentricity of 0.4. The top panel correspond to the radial displacement, the middle to panel is the horizontal displacement and the bottom panel is the potential perturbation. The eigenfunction can be directly compared to Fig. 7 of Valsecchi et al. (2013).

Current usage metrics show cumulative count of Article Views (full-text article views including HTML views, PDF and ePub downloads, according to the available data) and Abstracts Views on Vision4Press platform.

Data correspond to usage on the plateform after 2015. The current usage metrics is available 48-96 hours after online publication and is updated daily on week days.

Initial download of the metrics may take a while.