Open Access

Fig. 16

image

Download original image

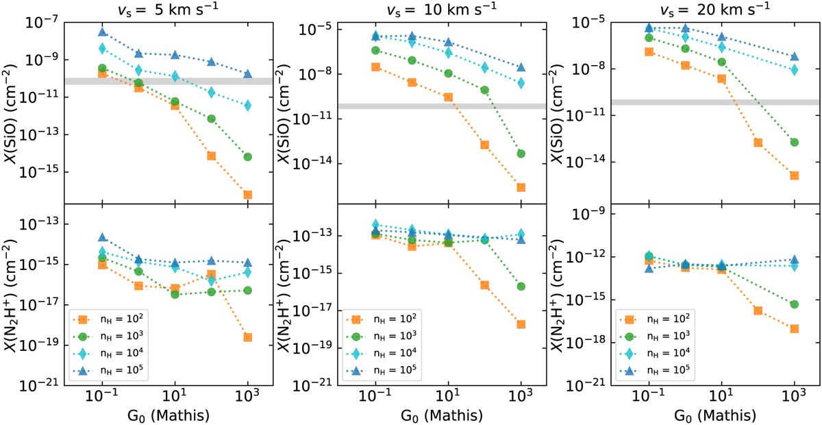
Fractional abundances, N (X)/N (H2), of SiO and N2H+ relative to H2, calculated across shocks propagating at 5 (left panels), 10 (middle panels), and 20 (right panels) km s−1 in the initial media density nH = 102 (red squares), 103 (green circles), 104 (cyan diamonds), and 105 (blue triangles) cm−3, as function of irradiating radiation field G0 in Mathis unit. In the upper panels for SiO, the filled gray areas indicate the observed SiO abundances (5 × 10−1–1 × 10−10) toward DR18.

Current usage metrics show cumulative count of Article Views (full-text article views including HTML views, PDF and ePub downloads, according to the available data) and Abstracts Views on Vision4Press platform.

Data correspond to usage on the plateform after 2015. The current usage metrics is available 48-96 hours after online publication and is updated daily on week days.

Initial download of the metrics may take a while.