Open Access

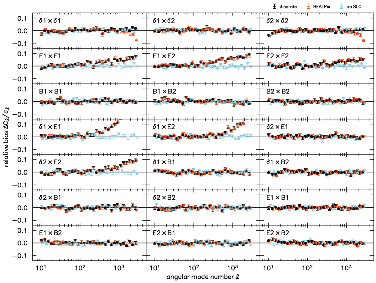
Fig. 8.

image

Download original image

Bias relative to statistical uncertainty between measured and expected angular power spectra from 10 000 simulations with a Euclid DR1-like set-up. Shown are spectra for combinations of galaxy density δ and cosmic shear E- and B-mode in two tomographic bins. The discrete angular power spectra show very good agreement between measurement and expectation (black), except for effects that can be ascribed to source–lens clustering. The same effects are visible for map-based spectra from HEALPix; in addition, these also show a small residual in angular clustering due to the pseudo-convolution of HEALPix pixels (red). When source–lens clustering is taken into account (blue), the relative bias of the discrete spectra is consistent with zero at the 1% level (error bars). Points of the three data sets are slightly offset for better visibility.

Current usage metrics show cumulative count of Article Views (full-text article views including HTML views, PDF and ePub downloads, according to the available data) and Abstracts Views on Vision4Press platform.

Data correspond to usage on the plateform after 2015. The current usage metrics is available 48-96 hours after online publication and is updated daily on week days.

Initial download of the metrics may take a while.