Open Access

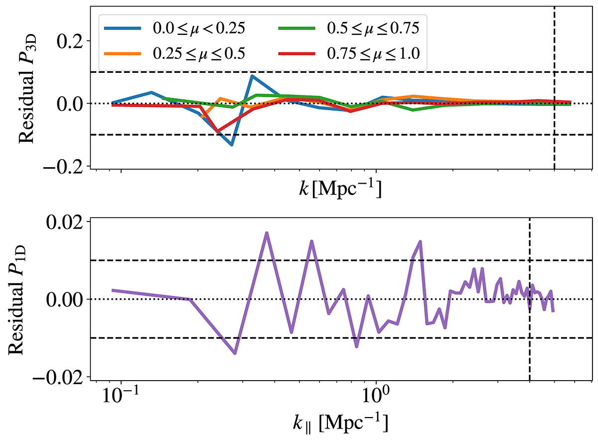
Fig. A.1.

image

Download original image

Impact of cosmic variance on P3D (top panel) and P1D (bottom panel) measurements from our simulations at z = 3. Lines show the difference between measurements from the CENTRAL and SEED simulations, which only differ on their initial distribution of Fourier phases, divided by 2 $ \sqrt{2} $ times their average. Cosmic variance induces errors as large as 10% on P3D for k ≃ 0.3 Mpc−1, while these are on the order of 1% for P1D.

Current usage metrics show cumulative count of Article Views (full-text article views including HTML views, PDF and ePub downloads, according to the available data) and Abstracts Views on Vision4Press platform.

Data correspond to usage on the plateform after 2015. The current usage metrics is available 48-96 hours after online publication and is updated daily on week days.

Initial download of the metrics may take a while.