Open Access

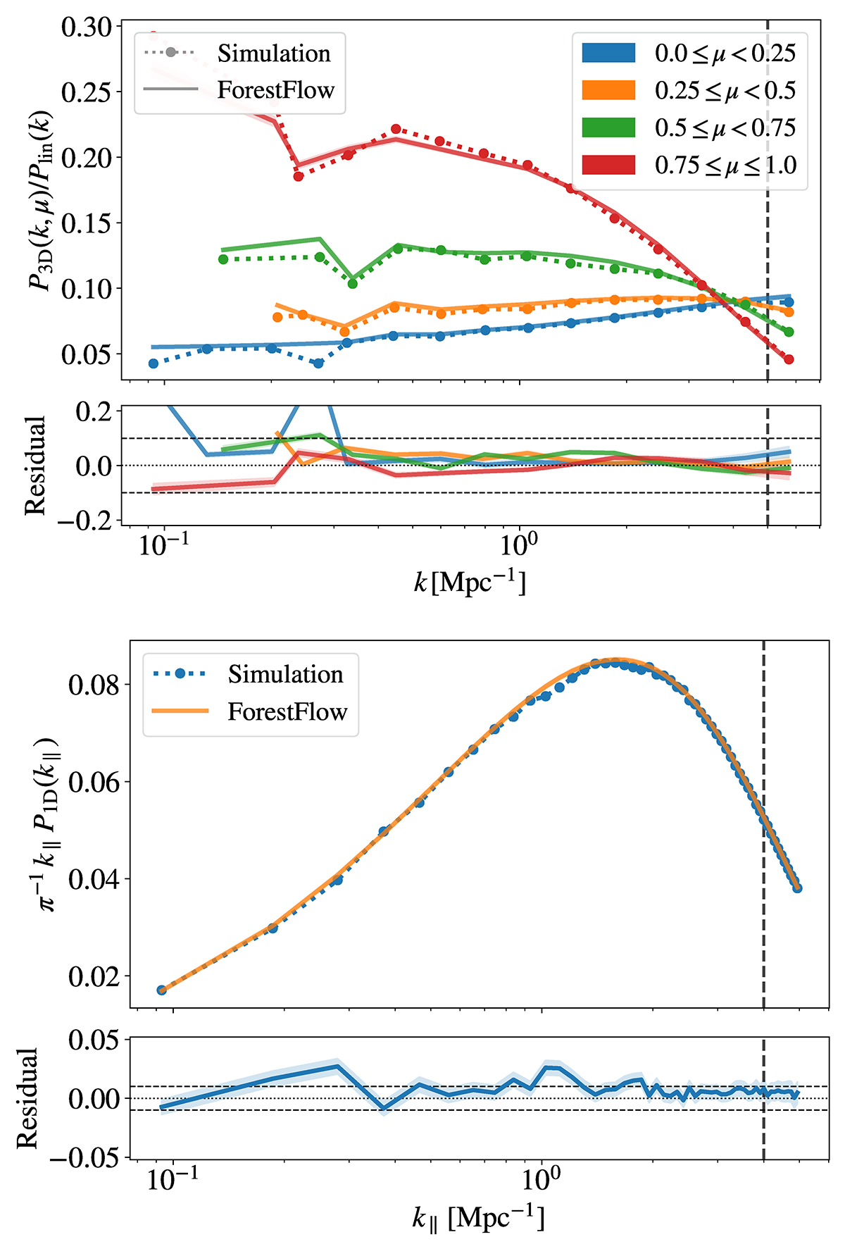
Fig. 4.

image

Download original image

Accuracy of FORESTFLOW in recovering P3D and P1D measurements from the CENTRAL simulation at z = 3. Dotted lines show measurements from simulations, solid lines and shaded areas display the average and 68% credible interval of FORESTFLOW predictions, respectively, and vertical dashed lines indicate the minimum scales considered for computing the training data for the cNF. The overall performance of FORESTFLOW in recovering P3D is 2.0% on scales not strongly affected by cosmic variance and 0.6% for P1D.

Current usage metrics show cumulative count of Article Views (full-text article views including HTML views, PDF and ePub downloads, according to the available data) and Abstracts Views on Vision4Press platform.

Data correspond to usage on the plateform after 2015. The current usage metrics is available 48-96 hours after online publication and is updated daily on week days.

Initial download of the metrics may take a while.