Open Access

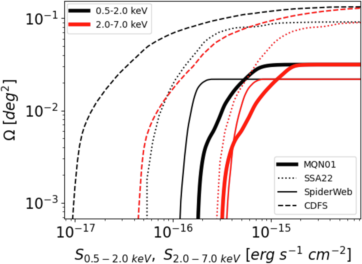
Fig. 2.

image

Download original image

Point source sky coverage for different Chandra observations in the soft (0.5–2.0 keV; black) and hard (2.0–7.0 keV; red) energy band. The thick solid lines mark the sky coverage of this study, while the thin solid, dotted, and dashed lines depict the sky coverage in the Chandra observations respectivley of Spiderweb (Tozzi et al. 2022), SSA22 (Lehmer et al. 2009), and Deep Field South (Rosati et al. 2002; Luo et al. 2017).

Current usage metrics show cumulative count of Article Views (full-text article views including HTML views, PDF and ePub downloads, according to the available data) and Abstracts Views on Vision4Press platform.

Data correspond to usage on the plateform after 2015. The current usage metrics is available 48-96 hours after online publication and is updated daily on week days.

Initial download of the metrics may take a while.