Open Access

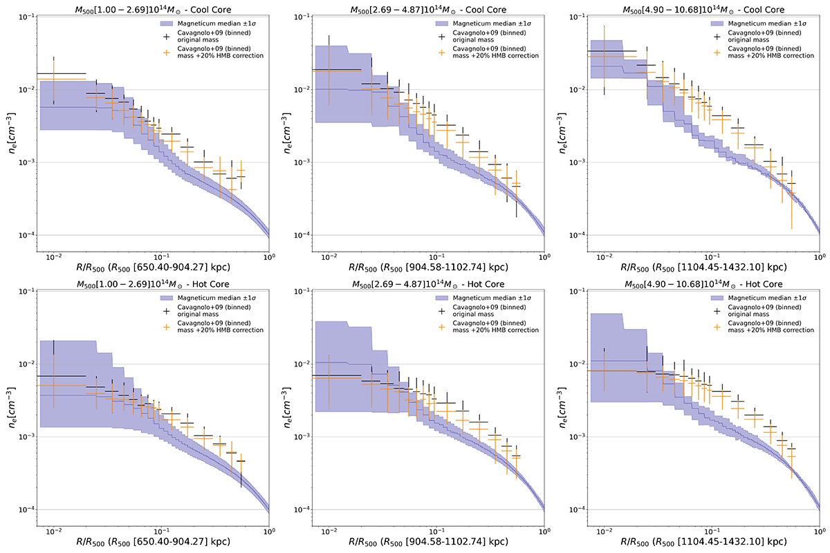
Fig. 7.

image

Download original image

Electron number density profiles. The error bars correspond to the median Chandra ACCEPT sample profiles and ±1σ intervals using the original masses from the M2C Galaxy Cluster Database (black) and a +20% hydrostatic mass bias correction (orange). The blue line and shaded areas correspond to the Magneticum simulation (Box2b) median profiles and ±1σ intervals. Columns are sorted by mass range, as indicated on top of each panel (increasing mass range from left to right). The upper row panels correspond to cool-core clusters, and the lower row panels to hot-core clusters.

Current usage metrics show cumulative count of Article Views (full-text article views including HTML views, PDF and ePub downloads, according to the available data) and Abstracts Views on Vision4Press platform.

Data correspond to usage on the plateform after 2015. The current usage metrics is available 48-96 hours after online publication and is updated daily on week days.

Initial download of the metrics may take a while.