Open Access

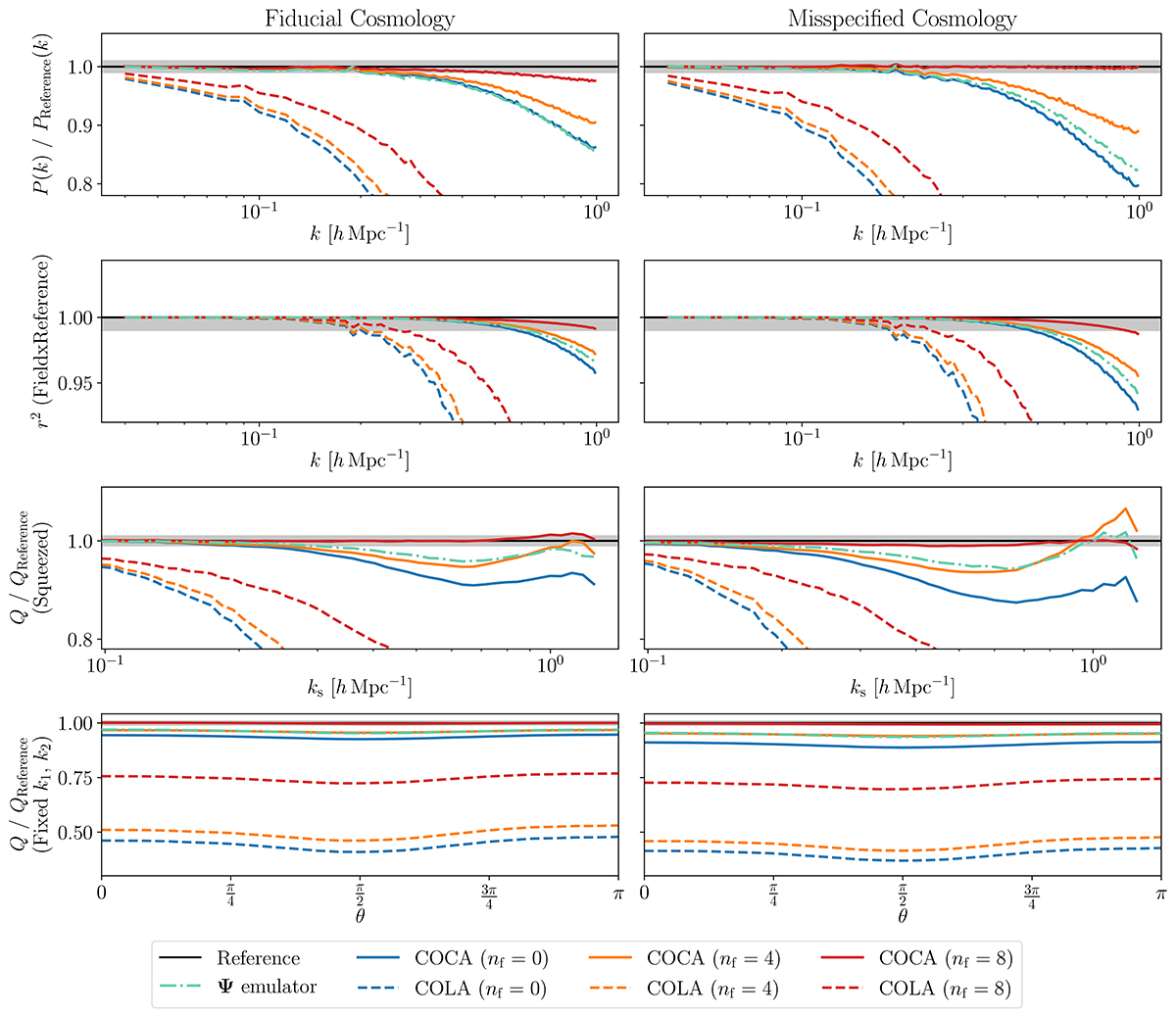
Fig. 12.

image

Download original image

Relative performance of COCA and COLA versus an emulator of the displacement field Ψ. We compute the summary statistics outlined in Sect. 3.5 for the final (a = 1) matter density field and compare results at both the training cosmology and a mis-specified one for COCA (COLA is evaluated at the correct cosmology in both cases). Although directly emulating Ψ produces a more accurate density field than simply emulating the momentum field p (with nf = 0), using the COCA framework (emulating the frame of reference and employing additional force evaluations) yields the best performance. Moreover, even when using a mis-specified cosmology to predict the frame of reference, COCA significantly outperforms COLA for any given number of time steps.

Current usage metrics show cumulative count of Article Views (full-text article views including HTML views, PDF and ePub downloads, according to the available data) and Abstracts Views on Vision4Press platform.

Data correspond to usage on the plateform after 2015. The current usage metrics is available 48-96 hours after online publication and is updated daily on week days.

Initial download of the metrics may take a while.