Open Access

Fig. 2

image

Download original image

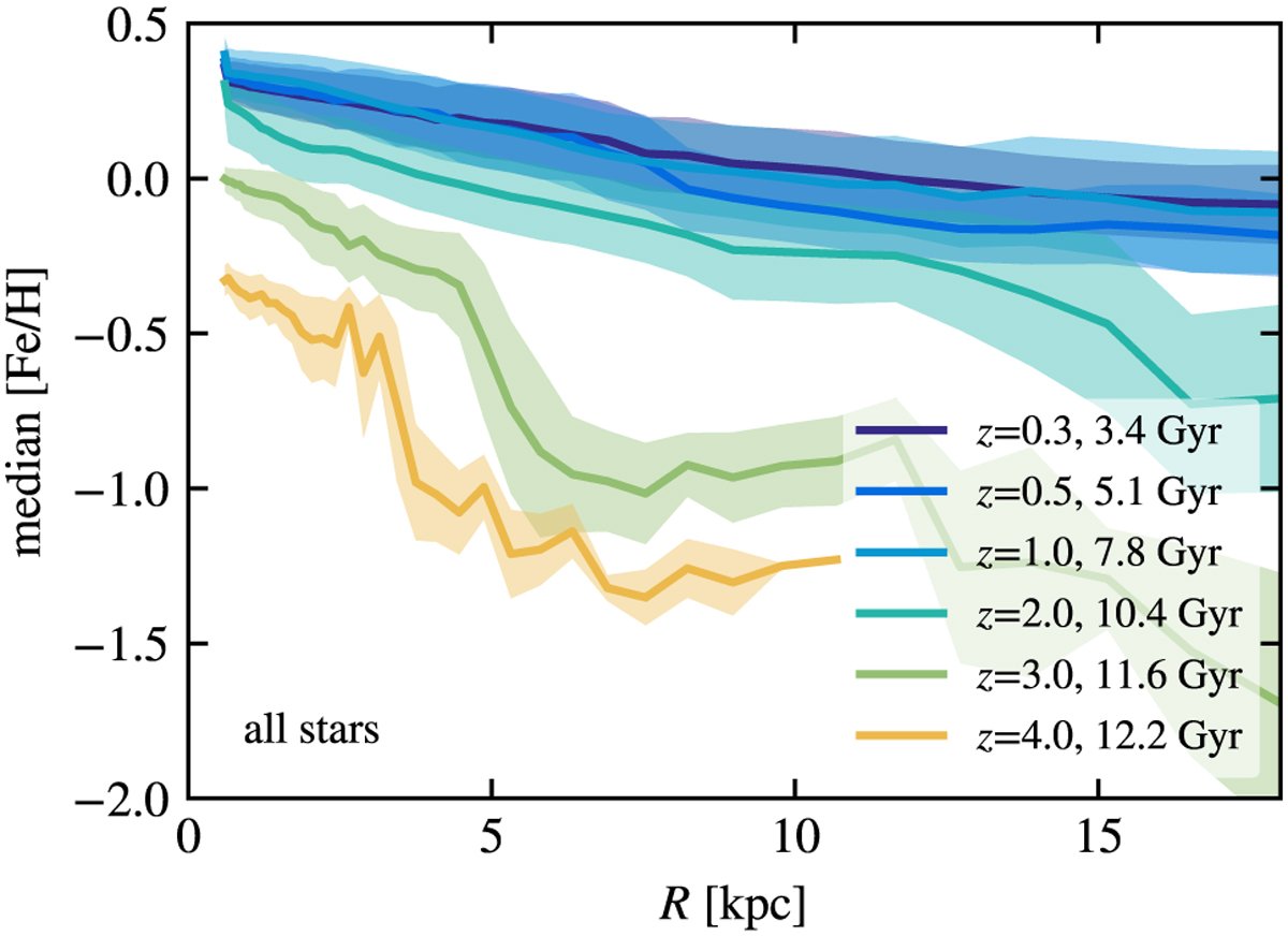
Radial profiles of the metallicity of all the stars, measured at different epochs (indicated by their redshifts and look-back times; see legend) as the median in logarithmically spaced radial bins. The shaded areas show the robust standard deviation σannulus in each radial bin (Equation (2)).

Current usage metrics show cumulative count of Article Views (full-text article views including HTML views, PDF and ePub downloads, according to the available data) and Abstracts Views on Vision4Press platform.

Data correspond to usage on the plateform after 2015. The current usage metrics is available 48-96 hours after online publication and is updated daily on week days.

Initial download of the metrics may take a while.