Open Access

Fig. 3

image

Download original image

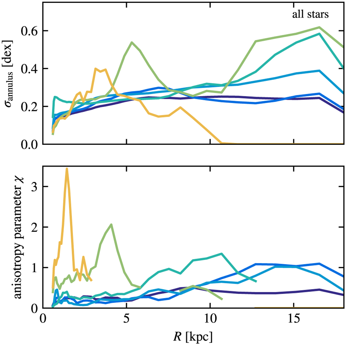
Top: robust standard deviation of the metallicity in logarithmically spaced radial bins. Bottom: Anisotropy parameter (Equation (4)) quantifying the importance of azimuthal variations in the scatter of metallicity at a given radius. A valuer χ ≈ 0 indicates an isotropic scatter. The colors are as in Figure 2. The differences in the radial extents of the two quantities are caused by low number statistics in the outer galaxy, which forbids the azimuthal binning necessary to compute χ.

Current usage metrics show cumulative count of Article Views (full-text article views including HTML views, PDF and ePub downloads, according to the available data) and Abstracts Views on Vision4Press platform.

Data correspond to usage on the plateform after 2015. The current usage metrics is available 48-96 hours after online publication and is updated daily on week days.

Initial download of the metrics may take a while.